众数
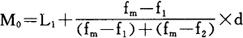
【释文】: 众数是被研究的事物或现象总体中,出现次数最多的变量值,即统计总体中各个数字按某一标志排列后出现次数量多的标志值。 例如五个人的月份工资分别为55元、65元、75元、75元、86元,则75元就是众数。在单项组数列中,哪一组变量值的次数最多,哪一组的变量值就是众数,例如,某单位职工按年收入分组资料如下:  因为第三组的次数最大,所以第三组为众数组。当被研究的事物或现象资料已整理成组距式分组数列时,则按下式计算众数:  式中,M0代表众数;L1代表众数组的变量值下限;fm代表众数组的次数;f1代表众数组前一组的次数;f2代表众数组后一组的次数;d代表众数组的组距,上面例子按此公式计算为:  众数在社会统计中通常用于总体各个案变量值分布较集中的情况。 其特点是不受少数极端变量的影响,在掌握大量资料的情况下,可以作为变量列水平的一个代表值,用以说明被研究总体的典型水平;其缺点是对统计总体中各变量值的利用不充分。 |