众数
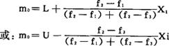
总体各单位按某一标志数值的大小顺序排列后出现次数最多的数值,也就是总体中最普遍的标志值。 它是平均数的一种,常用来说明社会现象的一般水平。确定众数的方法,在单项数列中比较简单,就是出现次数最多的变量值。在组距数列中,要先确定众数所在组,然后计算出近似的众数值。其计算公式为:  式中:m0为众数,L为众数组的下限,U为众数组的上限,(f2-f1)为众数组次数与前一组次数之差,(f2一f3)为众数组次数与后一组次数之差,i为组距。 众数适用于总体单位数较多,又有明显集中趋势的现象。例如,某地区职工家庭收入资料如下:   |