传热设备的热量损失
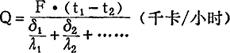
在糖厂条件下各传热设备由于辐射和对流带来的热损失约为该设备有效利用热量的3~10%。该项热损可用下法算出。 当设备表面无保温层时的热量损失为  式中 Q——每小时损失的热量(千卡/小时) λ——金属的导热系数(千卡/米·时·℃) δ——金属壁的厚度(米) F——金属壁的表面积(米2),管状壁以平均直径计 t1,t2——金属壁两边的温度(℃) 当设备表面有保温层等时的热损失为  式中 δ1——金属壁厚度(米) λ1——金属的导热系数(千卡/米·时·℃) δ2——保温层厚度(米) λ2——保温材质的导热系数(千卡/米·时·℃) F——保温材料的外表面积(米2) t1,t2——金属及保温层两边的温度(℃) 除上述辐射及与外界空气接触带来的热损失外,传热设备还有下列热损失: (1)不凝结气排出带走的热损失(可达1%)。 (2)凝结水排出不良带走的热损失。 |