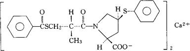
佐芬普利钙
C44H44CaN2O8S4=897.16 CAS-81938-43-4 CAS-81872-10-8(zofenopril) [1(R*),2α,4α]-1-[3-(苯甲酰硫代)-2-甲基-1-氧丙基]-4-(苯基硫代)-L-脯氨酸,钙盐。 L-Proline,1-[3-(benzoylthio)-2-methyl-1-oxopropy1]-4-(phenylthio),calcium salt,[1(R*),2α,4α]-. (4S)-N-[(S)-3-巯基-2-甲基丙酰基]-4-(苯基硫代)-L-脯氨酸苯甲酸酯,钙盐。 (4S)-N-[(S)-3-Mercapto-2-methylpropionyl]-4-(phenylthio)-L-proline benzoate(ester),calcium salt. 抗高血压药(血管紧张素转化酶抑制药)。 Zoprace(Bristol-Myers Squibb),SQ 26991. INN,BAN,USAN. 
|