硫酸铬liusuange
化学式Cr2(SO4)3,是重要的Cr(Ⅲ)盐之一。在水溶液中有水解,形成[Cr(OH)(H2O)5]2+,可认为是水解的第一步:
[Cr(H2O)6]3++H2O
Cr(OH)(H2O)5]2++H3O+
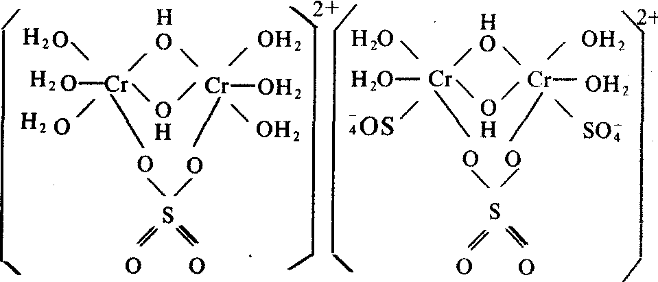
提高pH值,则此配合物进一步聚合,可形成多核配合物:
2[Cr(OH)(H2O)5]2+
[(H2O)4Cr(OH)2Cr(H2O)4]4++2H2O
这里OH
-根和硫酸根为桥基。例如,硫酸铬水解可得下列产物:

这与温度、pH值及浓度有关,溶液由紫色转为绿色。在水溶液中,六水合铬离子[Cr(H
2O)
6]
3+的内界水分子还可以被氨分子取代形成氨合物,如[Cr(NH
3)
2(H
2O)
4]
3+(紫红) ,[Cr(NH
3)
3(H
2O)
3]
3+(浅红),[Cr(NH
3)
6]
3+(黄) 。将硫酸铬的水溶液与碱金属硫酸盐相互作用,可得M
12SO
4·Cr
2(SO
4)
2·24H
2O组成的结晶(M为碱金属) ,一般呈紫色,称为铬矾。X 射线分析及颜色表明,其结构为[M
1(H
2O)
6][Cr(H
2O)
6](SO
4)
2,所以铬矾是个复盐。常见的是铬钾矾,化学式为[KCr(SO
4)
2·12H
2O],也称为铬明矾,呈暗紫色,是个八面体晶体。除此以外,还有铬钠矾[NaCr(SO
4)
2· 12H
2O]、铬铵矾[(NH
4)Cr(SO
4)
2·12H
2O]等。铬矾主要用于制革和印染工业。