硼酸pengsuan
硼的氧化物水合物。主要有四硼酸H2B4O7,偏硼酸 (HBO2)n与正硼酸H3BO3 (也称原硼酸) ,其中正硼酸含水量最多,最稳定。正硼酸也简称硼酸,它是白色发亮的片状晶体,0℃时溶解度为2.6g,107℃时溶度为37g,故可用重结晶法提纯。用硫酸作用于硼砂解的热溶液可制得硼酸:
Na2B4O7+H2SO4+5H2O=Na2SO4+4H3BO3
冷却时就可结晶析出。
我国东北有丰富的硼镁矿MgB
2O
5· H
2O或2MgO·B
2O
5·H
2O。直接用硫酸分解硼镁矿也可制得硼酸:
Mg2B2O5·H2O+2H2SO4=2MgSO4+2H3BO3
煮沸硼酸溶液时,有一部分硼酸与水蒸气同时挥发出来,故火山地区地层裂缝中喷出的水蒸气中常含有硼酸。硼酸晶体的结构单元是平面三角形的“BO
3”。硼原子采用sp
2杂化,其中氧原子除以共价键与一个硼原子结合外,还通过共价键和氢键与另外两个氢原子结合,成为片状大分子。因氢键结合力小,故受热后大分子遭破坏,溶解度增加。硼酸是一元酸,酸性极弱 (K
a= 5.8×10
-10),与硅酸相似 (K
1=2×10
-10),在水中电离时不是失去质子,而是与水中的OH
-根结合:

这与硼化合物缺电子结构特点有关,硼酸中硼原子可作为电子对接受体与一个OH
-根结合,OH
-根中

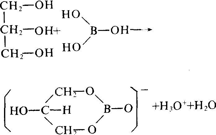
典型的路易斯酸。当硼酸中加入甘油 (丙三醇)或甘露醇[CH
2(OH)(CHOH)
4CH
2OH]时,其酸性增强,这是因为硼酸与甘油结合生成配阴离子后,将H
+推到外界,易于电离:

硼酸与甲醇或乙醇作用生成易挥发的硼酸三甲酯或硼酸三乙酯:
H3BO3+3C2H5OH=B(OC2H5)3+3H2O
根据这一反应原理可使硼酸或硼酸盐从酸溶性矿物中分离出来。硼酸三甲酯 (或硼酸三乙酯) 燃烧时,生成绿色火焰,利用这一特性可定性地鉴定硼酸或其盐的存在。硼酸水溶液具有弱酸性和杀菌能力,在医药和食品工业、造纸和制革工业上用做消毒剂和防腐剂,硼酸也用于搪瓷和釉药的制造,也是制造玻璃纤维的重要原料之 一。