网站首页  词典首页

请输入您要查询的字词:

 

字词 社会测量法
类别 中英文字词句释义及详细解析
释义

社会测量法

了解团体内人与人的关系状况的方法。由莫雷诺于1934年创造。

社会测量法

社会测量法shehui celiangfa

社会学和心理学用以研究团体、组织中成员之间关系的方法。它通过测量团体、组织中人与人的趋避倾向来发现、描述和评价人们的社会地位和团体组织结构、预测团体组织的发展趋势。最早使用这种方法于社会学和社会心理学研究的是奥地利移居美国的心理分析学者莫雷诺(J·L·Moreno)。他在《谁将生存?》(1934年出版)一书中提出,“社会测量学研究任何团体当中人与人的社会互动。”以后,社会测量法便被广泛运用于社会心理学和社会学研究领域。
社会测量法的实施步骤可分以下三个阶段:
❶调查阶段。调查者向团体中所有成员发出问卷,让他们填写出3~5名在本团体范围内最好的朋友(包括自己所尊敬、信任、佩服或交往最多的人),同时注明自己的名字。
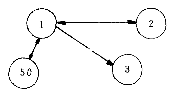
❷汇总阶段,即整理资料阶段。先把调查者编号,然后把问卷归纳汇总填入方阵表(见下表)。填写时,将问卷中的被调查者作为起点号,表示友好关系的发出者;朋友作为终点号,表示友好关系的承受者。关系数字栏中用1和0来表示团体成员间朋友关系的有无。行总计数字表明每个成员认为可以作为自己朋友的人数,列总计数字则表明某个成员受到多少人的举荐。上表是50人团体的方阵表。如表所示,若1号,认为2、3、50号是自己的朋友,就在起点号栏中找出1号所在的行,在终点号栏中找出2、3、50号所在的列,然后在行、列交叉点上写1。没有朋友关系则写0。1号提出3个朋友,就在行总计中写3。同时他还受到2个人的举荐,就在列总计中写上2。
❸绘图阶段,即总结阶段。根据方阵表,绘制社会网络图,用○表示团体中的某成员,用→表示友好关系的指向。如上面方阵表中1号与2、3、50号之间的关系,图示即:按照这个办法,就可以把整个团体成员间纵横交错的网络关系显示无遗。

☚ 社会实验法   社会调查 ☛
社会测量法

社会测量法shehui celiang fa

定量地揭示团体(尤其是小团体)内的社会结构模式——即人际相互作用的模式及各成员在该团体内的人际关系状况的一种方法。由美国社会学家、心理学家J. L.莫雷诺于本世纪30年代提出,后经研究者们进一步完善。方法要求被试者按一定标准对其他团体成员进行肯定或否定的选择,研究者由此结果去分析团体内的人际状况。它可唤起被试者较强的兴趣与投入,也可用指数、图表、矩阵等直观地反映团体内的种种状况,如个人社会地位、人际吸引与排斥等。此方法已在心理与教育科学等领域中得以广泛应用。其基本形式有:提名法、猜人测验、社会距离量表、关系分析方法。

☚ 现场提名法   社会关系测量法 ☛

社会测量法

社会测量法shehui celiang fa

美国心理学家J.F.莫雷诺1934年创立的一种用来测量群体成员之间人际关系的方法。社会测量法的基本假设是团体中存在相互作用的非正式组织。其做法是:让团体内每个成员选择他喜欢与之一起活动的人,再选出他不喜欢与之一起活动的人,把这些结果用数字加以整理,并利用社会测量矩阵和群体分析图表示出来。这种方法可以很快地揭示出任何群体内部的情绪倾向层次和网络。但此法不能揭示出隐藏在情绪倾向性行为背后的行为动机,所揭示的只是群体成员间相互关系的外部的、浅层的方面,而对于群体内各种相互关系的深层结构和动态则无能为力。此外,社会测量法是依据通过问卷得到的材料来确定群体成员间的相互关系,倘若被调查者有意隐瞒人际选择的真正动机,那么测量结果就会不准确。

☚ 形成性实验   提名法 ☛
社会测量法

社会测量法sociometry

亦称“伙伴选择法”,是由美籍罗马尼亚心理学家莫雷诺(Moreno,J.)首创的了解群体中人与人之间的心理关系的定量测量方法。进行社会测量时,先以问卷的形式向群体的全体成员提出诸如“你愿意(或不愿意)选谁当组长”这样的问题,以此来收集群体中各个成员对其他成员是选择还是排斥的资料,然后运用数量化的方法整理和分析这些资料,绘制出社会测量矩阵和社会测量图,计算出群体中每个成员的地位指数和群体的凝聚力指数、分裂性指数、交往性指数等数量指标。社会测量法的功能有:(1)了解群体中非正式群体的结构和成员之间的交际网。(2)了解集体的凝聚力和离心力。(3)了解非正式群体的中心人物和组成人员。(4)了解每个群体成员在非正式结构中的地位和对群体的适应情况。社会测量法现已被广泛应用到心理学、教育学、社会学、精神医学等领域,用以查明厂矿企业、机关学校等团体中人与人之间心理上的关系。这一方法的优点为:被调查者能在自己尚未明确意识到的条件下表现出自己对他人的真实想法,结果能够数量化,客观性强,实施方便,省时省力并富有成效。它的问题是,能知道一个人对他人选择或排斥的态度,但不知道这种态度背后的心理原因。因此,在需要了解原因时应结合其他方法一道进行。

☚ 社会标准化倾向   社会惩罚 ☛

社会测量法

社会测量法method of social measurement

亦称“伙伴选择法”,是由美籍罗马尼亚心理学家莫雷诺(Moreno,J.)首创的了解群体中人与人之间的人际关系的定量测量方法。进行社会测量时,先以问卷的形式向群体的全体成员提出诸如“你愿意(或不愿意)选谁当组长”这样的问题,以此来收集群体中各个成员对其他成员是选择还是排斥的资料,然后运用数量化的方法整理和分析这些资料,绘制出社会测量矩阵和社会测量图,计算出群体中每个成员的地位指数和群体的凝聚力指数、分裂性指数、交往性指数等数量指标。社会测量法的功能有:(1)了解群体中非正式群体的结构和成员之间的交际网。(2)了解集体的凝聚力和离心力。(3)了解非正式群体的中心人物和组成人员。(4)了解每个群体成员在非正式群体结构中的地位和对群体的适应情况。社会测量法现已被广泛应用到心理学、教育学、社会学、精神医学等领域,用以查明厂矿企业、机关学校等团体中人与人之间心理上的关系。这一方法的优点为:被调查者能在自己尚未明确意识到的条件下表现出自己对他人的真实想法,结果能够数量化,客观性强,实施方便,省时省力并富有成效。它的问题是,能知道一个人对他人选择或排斥的态度,但不知道这种态度背后的心理原因。因此,在需要了解原因时应结合其他方法一道进行。

☚ 上位学习   社会学科学习心理学 ☛
00005030
随便看

 

文网收录3541549条中英文词条,其功能与新华字典、现代汉语词典、牛津高阶英汉词典等各类中英文词典类似,基本涵盖了全部常用中英文字词句的读音、释义及用法,是语言学习和写作的有利工具。

 

Copyright © 2004-2024 Ctoth.com All Rights Reserved
京ICP备2021023879号 更新时间:2025/10/17 11:55:31