网站首页  词典首页

请输入您要查询的字词:

 

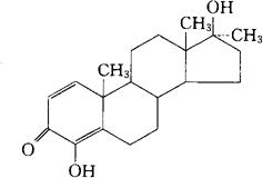
字词 依奈替勃
类别 中英文字词句释义及详细解析
释义 依奈替勃

C20H28O3=316.44

CAS-2320-86-7

4,17β-二羟基-17-甲基雄甾-1,4-二烯-3-酮。

4,17β-Dihydnoxy-17-methylandrosta-1,4-dien-3-one.

同化激素类药。

Enetebol.

INN,USAN.

随便看

 

文网收录3541549条中英文词条,其功能与新华字典、现代汉语词典、牛津高阶英汉词典等各类中英文词典类似,基本涵盖了全部常用中英文字词句的读音、释义及用法,是语言学习和写作的有利工具。

 

Copyright © 2004-2024 Ctoth.com All Rights Reserved
京ICP备2021023879号 更新时间:2026/1/18 13:34:28