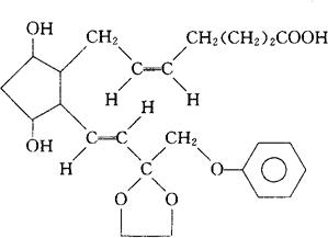
依替前列通
C24H32O7=432.51 CAS-59619-81-7 (Z)-7-[(1R,2R,3R,5S)-3,5-二羟-2-[(E)-2-[2-(苯氧甲基)-1,3-二氧戊环-2-基]烯乙基]环戊基]-5-庚烯酸。 (Z)-7-[(1R,2R,3R,5S)-3,5-Dihydroxy-2-[(E)-2-[2-(phenoxymethyl)-1,3-dioxoln-2-yl]vinyl]cyclopentyl]-5-heptenoic acid. 前列腺素类药,堕胎药。 Etiproston. INN,USAN.  |