网站首页  词典首页

请输入您要查询的字词:

 

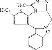
字词 依替唑仑
类别 中英文字词句释义及详细解析
释义 依替唑仑

C17H15ClN4S=342.85

CAS-40054-69-1

4-(邻氯苯基)-2-乙基-9-甲基-6H-噻吩并[3,2-f]均三唑并[4,3-a][1,4]二氮杂

4-(o-Chlorophenyl)-2-ethyl-9-methyl-6H-thieno[3,2-f]-s-triazolo[4,3-a][1,4]diazepine.

抗焦虑药。

噻吩唑仑。

Etizolam,Depas,Efinozolam,AHR 3219,Y7131.

INN,JAN,USAN.

随便看

 

文网收录3541549条中英文词条,其功能与新华字典、现代汉语词典、牛津高阶英汉词典等各类中英文词典类似,基本涵盖了全部常用中英文字词句的读音、释义及用法,是语言学习和写作的有利工具。

 

Copyright © 2004-2024 Ctoth.com All Rights Reserved
京ICP备2021023879号 更新时间:2025/10/18 14:28:50