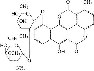
依沙芦星
C33H35NO13=653.64 CAS-97068-30-9 10-[[2-O-(2-氨基-2,6-二脱氧-3-O-甲基-α-D-吡喃半乳糖基)-6-脱氧-3-C-甲基-β-D-吡喃半乳糖基]氧]-6-羟基-1-甲基苯并[h][1]苯并吡喃并[5,4,3-cde][1]苯并吡喃-5,12-二酮。 10-[[2-O-(2-Amino-2,6-dideoxy-3-O-methyl-α-Dgalactopyranosyl)-6-deoxy-3-C-methyl-β-D-galac topyranosyl]oxy]-6-hydroxy-1-methylbenzo[h][1]-benzopyrano[5,4,3-cde][1]benzopyran-5,12-dione. 抗肿瘤药。 INN.  |