依高地平
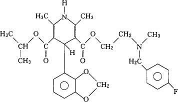
C29H33FN2O6=524.59 CAS-119413-55-7 异丙基(±)-1,4-二氢-2,6-二甲基-4-[2,3(亚甲基二氧)苯基]-3,5-吡啶二羧酸2-[(对-氟苄基)甲基氨基]乙酯。 2-[(p-Fluorobenzyl)methylamino]ethyl isopropyl(±)-1,4-di-hydro-2,6-dimethyl-4-[2,3-(methylenedioxy)phenyl]-3,5-pyridinedicarboxylate. 血管扩张药。 Elgodipine. INN,USAN.  |