| 释义 |
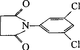
纹枯利dimetachlone又名菌核净。杂环类杀菌剂。化学名称:N-3,5-二氯苯基丁二酰亚胺。化学结构式如下。原药为黄色结晶,可溶于乙醇、甲醇、丙酮、氯仿、苯中。30℃时水中溶解度为240 mg/kg,对热和酸稳定,遇碱分解,在日光照射下也会分解,对核盘菌和葡孢霉菌、丝核菌有活性,用于防治水稻纹枯病、菌核病等。豆科、茄科植物应慎重,以免药害。小鼠口服急性LD50为1 250 mg/kg,大鼠口服后,24 h内由尿道排出,对组织和器官无影响,如日服二甲基亚硝胺500 mg/kg,使其肾部近中12曲小管中的细胞受损伤,随后口服菌核净,一星期后,受伤部位细胞恶变,12星期后呈癌症前期症状。 
|