网站首页  词典首页

请输入您要查询的字词:

 

字词 细胞分裂素
类别 中英文字词句释义及详细解析
释义

细胞分裂素cytokinins

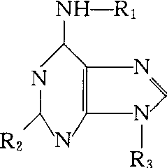
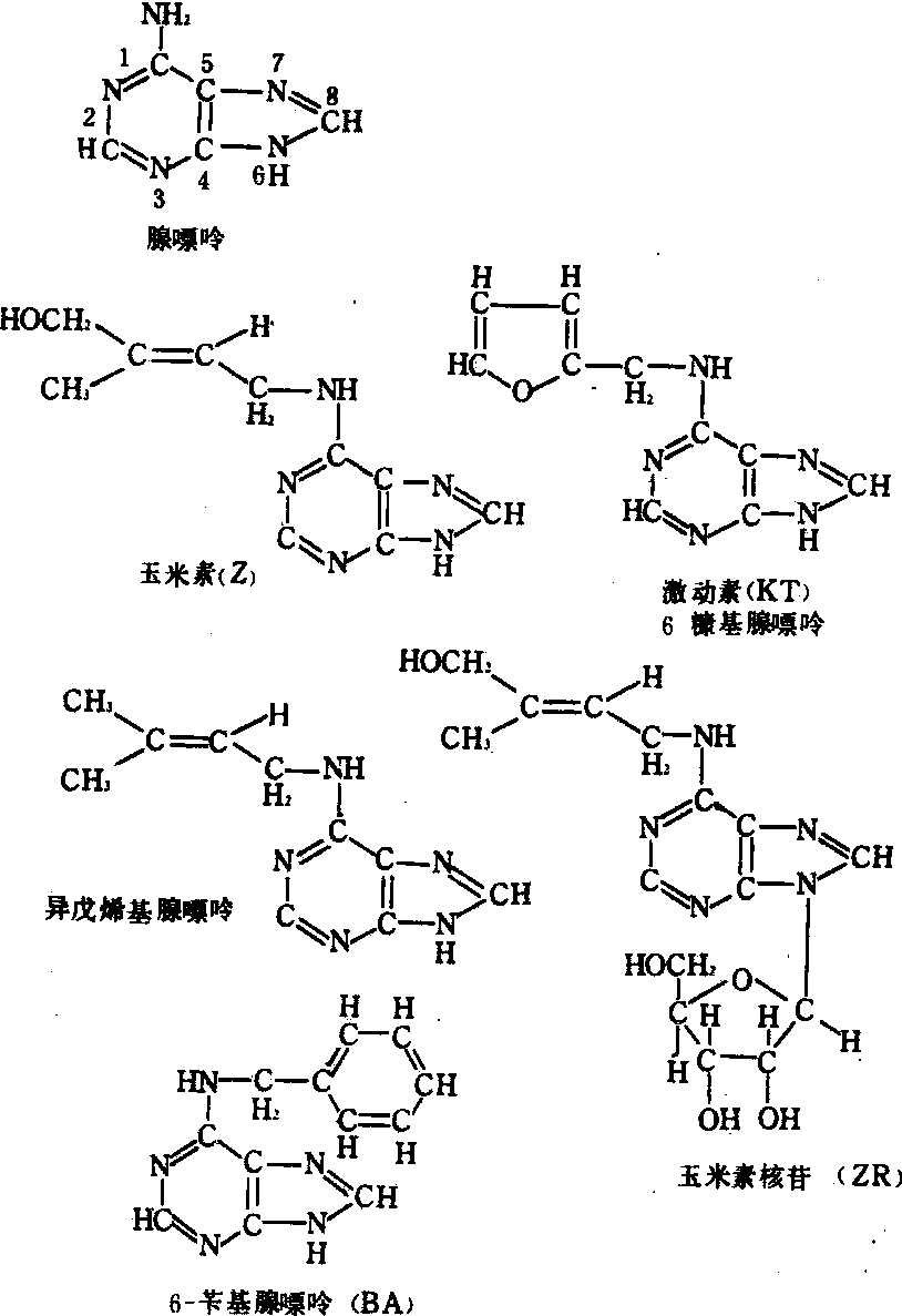
一类具有腺嘌呤环结构的植物激素。其共同特点是在腺嘌呤环的第6位置氨基上有特定的取代物。这类物质的生理功能突出表现在促进细胞分裂和诱导芽形成。1948年美国斯科格(F.Skoog)和中国崔澂在烟草组织培养中发现腺嘌呤能诱导烟草髓组织分化出芽。1955年米勒(C.D.Miller)等以酵母DNA的降解物和鲱精子的DNA中分离纯化得到促进细胞分裂的物质,定名为激动素(KT)。按其化学结构即6-呋喃甲基腺嘌呤,又称6-糠基腺嘌呤。1963年莱瑟姆(D.S.Letham) 从受精11~16天的玉米嫩籽中分离出第一种存在于高等植物的天然细胞分裂素,定名为玉米素(Z)。目前已从高等植物中得到20几种腺嘌呤衍生物,具有与激动素类似的生理活性。植物体内除玉米素以外存在较普遍的有二氢玉米素、玉米素核苷(ZR)和异戊烯基腺嘌呤等(见图)。近代人工合成了多种类似物质,如6-苄基腺嘌呤(BA)、四氢吡喃苄基腺嘌呤(PBA)等。这类物质通称为细胞分裂素(CTK)。


几种细胞分裂素的化学结构


形成部位和分布 根部是合成细胞分裂素的重要场所,幼叶、芽、幼果和正在发育的种子中也能形成CTK。细胞分裂素主要分布在植物的幼嫩组织中。例如,玉米素最早是从未成熟的玉米籽中获得,在乳熟的甜玉米中还分离出玉米素核苷,从正在发育的豌豆中得到异戊烯基腺苷,未成熟的黄羽扇豆中获得二氢玉米素。成熟种子和干种子中均测不出CTK活性,当种子萌发时这类激素又重新出现。从正在生长中的果实,如苹果、番茄、梨、桃等的幼果中都能测得多种细胞分裂素。当传粉受精后,在幼果细胞分裂最旺盛时期CTK的含量最多; 细胞分裂将结束时,其含量急剧下降。关于根内细胞分裂素的分布情况,已经了解到向日葵和豌豆的根端含有丰富的CTK,而老根中无CTK活性。
生理效应 ❶促进细胞分裂。细胞分裂有两个过程,一是核分裂过程,另一是胞质分裂过程。细胞分裂素能促进胞质分裂。如果缺乏CTK,则细胞不能正常分裂而形成多核细胞。
❷诱导芽形成。在组织培养中CTK对芽的形成有显著的促进效应。有些离体叶经KT处理后主脉基部及叶缘都能产生芽。
❸防衰保绿。CTK能延缓器官衰老,用KT处理离体叶片,可以逆转处理区域内蛋白质和叶绿素的降解过程,达到防衰保绿的效果。
❹克服顶端优势。将KT施于受茎顶端极性运输的生长素抑制的侧芽上,可使侧芽萌发生长。此外,CTK还具有促进番茄花芽形成,加速莴苣、烟草等种子萌发,使遗传上雄性葡萄品种变为雌雄同花植株等效应。
应用 BA(5~10ppm)可用于菠菜、芹菜、莴苣等蔬菜,使其叶片延缓失绿,以延长销售时间。用于水仙、紫罗兰等花卉,可延长切花寿命。多种植物在组织培养中,细胞分裂素与生长素药剂以适当比例配合应用时,能促使组织分化出芽和根,长成完整植株。此外,还可应用5~10ppm BA浸泡黄豆或绿豆,使豆芽肥嫩、根短,提高食用价值。

细胞分裂素cytokinin,CTK

具有腺嘌呤环结构,能促进细胞分裂和芽分化的一类植物激素。1963年莱瑟姆(D.S.Letham)从嫩玉米籽粒中分离并鉴定了第1种天然细胞分裂素,定名为玉米素。目前已从高等植物中获得20余种具有类似生理效应的腺嘌呤衍生物。如二氢玉米素、玉米素核苷和异戊烯基腺苷等。细胞分裂素的通式如下。细胞分裂素具有促进细胞分裂,诱导芽的分化,促进侧芽发育,延迟叶片衰老,打破某些种子的休眠等生理效应。根部是合成细胞分裂素的主要场所。人工合成的有6-苄基腺嘌呤和6-糠基腺嘌呤(又名激动素)等。常用于组织培养和蔬菜保鲜。

细胞分裂素

细胞分裂素xibaofenliesu

亦称“细胞激动素”。一类植物激素。1955年美国斯库格(Skoog)等在研究植物组织培养时,发现了一种促进细胞分裂的物质,被命名为激动素。它的化学名称为6-糠基氨基嘌呤,纯品为白色固体,能溶于强酸、碱中。激动素在植物体中并不存在。之后在植物中分离出了十几种具有激动素生理活性的物质。现把凡具有激动素相同生理活性的物质,不管是天然的还是人工合成的,统称为细胞分裂素。它们的基本结构是有一个6-氨基嘌呤环。植物体内天然的细胞分裂素有玉米素、二氢玉米素、异戊烯腺嘌呤、玉米素核苷、异戊烯腺苷等。它们在体内合成的部位主要是根尖。人工合成的细胞分裂素除了激动素外,还有6-苄基氨基嘌呤等。细胞分裂素最明显的生理作用有两种:一是促进细胞分裂和调控其分化。在组织培养中,细胞分裂素和生长素的比例影响着植物器官分化,通常比例高时,有利于芽的分化;比例低时,有利于根的分化。二是延缓蛋白质和叶绿素的降解,延迟衰老。各种细胞分裂素的活性有差异,例如在促进生长的生物试验中,天然的细胞分裂素如玉米素、异戊烯腺嘌呤,比人工合成的细胞分裂素如6-苄基氨基嘌呤和激动素高,而在延缓叶绿素分解的生物试验中,后者活性比前者高。


图544 细胞分裂素通式



图545 激动素结构式



图546 玉米素结构式

☚ 赤霉素   脱落酸 ☛

细胞分裂素

又称“细胞激动素”。是一类腺嘌呤的衍生物。为DNA的降解产物,或人工合成。具有促进细胞分裂和调节分化,延缓蛋白质和叶绿素的降解,从而延迟植物衰老的作用。如激动素、玉米素、6—苄基嘌呤等。


细胞分裂素

植物激素之一。参见“细胞”中的“细胞分裂素”。

随便看

 

文网收录3541549条中英文词条,其功能与新华字典、现代汉语词典、牛津高阶英汉词典等各类中英文词典类似,基本涵盖了全部常用中英文字词句的读音、释义及用法,是语言学习和写作的有利工具。

 

Copyright © 2004-2024 Ctoth.com All Rights Reserved
京ICP备2021023879号 更新时间:2026/1/16 21:03:32