网站首页  词典首页

请输入您要查询的字词:

 

字词 维生素bc或m
类别 中英文字词句释义及详细解析
释义
维生素Bc或M

维生素Bc或M


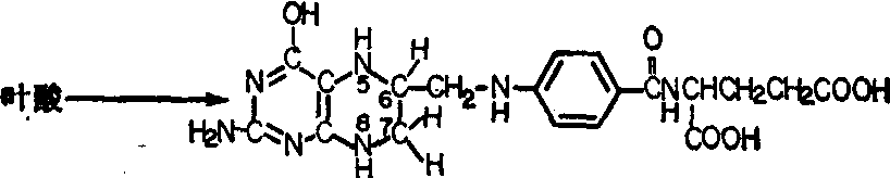
维生素Bc(vitamin Bc)亦即叶酸 (folic acid)。1935年,在酵母和肝脏浓缩物中发现了一个抗猴子和鸡贫血的因子,此因子与以后发现的干酪乳杆菌和乳酸链球菌的生长因子为同一物,即叶酸。
叶酸大部分以多聚谷氨酸结合物的状态广泛分布于生物中。
叶酸是黄色结晶粉末,250℃左右碳化,无嗅无味,微溶于水,易溶于稀乙醇溶液,不溶于乙醚及其他有机溶剂。其中性和碱性溶液对热稳定,酸性溶液不稳定。并对光敏感。
叶酸以多种形式存在于天然物中,而组成一组叶酸类化合物,这些化合物在高等动物中其作用相等,但作为微生物的生长素却活性相差很大。如游离的叶酸去掉谷氨酸,维生素的作用即丧失,而蝶酸与三个谷氨酸分子 (蝶酰三谷氨酸)或与七个谷氨酸分子(蝶酰七谷氨酸)相结合,都具有生物活性。
结合的叶酸化合物在肠道中可被小肠上皮细胞分泌的γ-L-谷氨酸-羧基肽酶水解成谷氨酸和游离的叶酸。游离的叶酸在小肠上部吸收。于肠壁、肝、骨髓等组织中,在维生素C和还原型辅酶Ⅱ(NADPH)参与下,叶酸由四氢叶酸还原酶催化转变成其活性形式5,6,7,8-四氢叶酸(THFA或FH4)。
四氢叶酸分子中的第5位和第10位碳原子参与 “一碳”的转移,是体内“一碳”转移酶系统中的辅酶。“一碳”

四氢叶酸


单位可能是以甲酰基(—HCO)、甲酸(—COOH)或羟甲基(—CH2OH)的形式存在。它们是在一个依赖于NADP的脱氢酶作用下在代谢中互相转化的。叶酸作为“一碳”传递体在嘌呤和嘧啶的合成中起重要作用。因此是细胞生长裂殖所必须的物质。
人的叶酸缺乏症通常是由于肠道吸收障碍综合征、肝肠循环障碍、醇中毒、摄入量不足或需要量增加或长期应用叶酸拮抗剂等原因所引起,其典型反应是骨髓巨红细胞的成熟受损,引起巨幼红细胞性贫血,同时伴有白细胞和血小板减少、舌炎和腹泻等。近来报道叶酸缺乏可能引起智力退化症精神病。
叶酸制剂口服后主要在小肠上部,通过主动转运和扩散作用吸收,1小时血药浓度可达高峰。吸收的叶酸主要以N5-甲基四氢叶酸的形式贮存在肝脏中,90%自尿排泄,大部为原形,小部分为甲酰四氢叶酸。自食物中吸收的叶酸,经尿排泄极微,主要由胆汁分泌,参与肠肝循环,后者对于维持体内叶酸平衡起重要作用。
有些药物如消胆胺、口服避孕药、抗惊厥药、水杨酸偶氮磺胺吡啶,能影响叶酸的吸收而出现巨幼红细胞性贫血。阿司匹林可降低叶酸与蛋白结合的能力,这样使游离叶酸增多,排泄增加,贮存减少。
叶酸主要用于营养性,婴儿期或妊娠期巨幼细胞性贫血症。对于叶酸拮抗剂造成的巨幼红细胞性贫血,叶酸在体内不能变为四氢叶酸而治疗无效,需用甲酰四氢叶酸钙 (calcium leucovorin)治疗。叶酸还可用于维生素B12缺乏所致的“恶性贫血”的辅助治疗。口服叶酸对人基本无毒。大剂量应用时,可引起厌食、腹胀、嘴苦、不适等;偶见变态反应,出现红斑、痒、支气管痉挛、关节肿痛、发烧等。常用量为每次5~10mg,一日3次,口服。
☚ 维生素B   维生素B ☛
00005385
随便看

 

文网收录3541549条中英文词条,其功能与新华字典、现代汉语词典、牛津高阶英汉词典等各类中英文词典类似,基本涵盖了全部常用中英文字词句的读音、释义及用法,是语言学习和写作的有利工具。

 

Copyright © 2004-2024 Ctoth.com All Rights Reserved
京ICP备2021023879号 更新时间:2025/10/17 13:27:53