假连翘
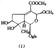
【概况】: 异名 花墙刺、篱笆树、番仔刺、洋刺(《福建中草药》),桐青(《福建药物志》)。 基源 为马鞭草科假连翘属植物假连翘的果实。 原植物 假连翘Duranta repens L. 形态 直立常绿灌木,高2~4m。 枝条常下垂或卧地,有刺或无刺。单叶对生或轮生,叶柄短,叶片卵状椭圆形或倒卵形,长2.5~9cm,宽2~4.5cm,先端短尖,边缘在中部以上有锯齿,基部楔形。 总状花序腋生或顶生,排列呈圆锥状,柔弱而开展,长约10cm,花萼管状,5裂,先端5齿裂;花冠蓝色或白色,先端5裂,裂片不等大;雄蕊4,花丝2长2短,内藏,著生于花冠管中部;子房上位,柱头头状。果实球形,熟时金黄色,为扩大的宿萼所包围。 花期全年,果熟期秋冬季。(图见《中国高等植物图鉴》.第3册.图5113) 生境与分布 栽培于路旁、公园等处,多修剪作绿篱。 分布于福建、广东等地。 。【生药】: 采集 叶全年可采,果实秋季成熟时采,鲜用。 【化学】: 果实含β-谷甾醇,乌苏酸及猕猴桃碱,葡萄糖、果糖等[1]。从果实中又得新的环烯醚萜甙匍匐假连翘甙(Repenoside)(1)和已知化合物假连翘甙Ⅰ,Ⅱ(Durantoside Ⅰ,Ⅱ)[2]。  参考文献 [1] 江苏省植物研究所等.新华本草纲要.第1册.上海科学技术出版社,1988∶411 [2] CA 1993;118∶230143h 【药性】: 性味 甘、微辛,温。 有小毒。 主治 截疟,下胎。 使用注意 孕妇忌用。 。【临床应用】: 单方应用 ❶ 《福建中草药》:“治疟疾:假连翘果15~20粒,水煎,于发作前2小时服(孕妇忌服)。” ❷ 《福建中草药》:“治跌打胸痛:鲜假连翘15g,捣烂,热酒冲服。” |