网站首页  词典首页

请输入您要查询的字词:

 

字词 催眠安定药中毒
类别 中英文字词句释义及详细解析
释义 催眠安定药中毒

催眠安定药中毒常见有巴比妥类催眠药、吩噻嗪类及泰尔登安定药,苯并二氮杂类弱安定药,还有导眠能、安眠酮、眠尔通等其他催眠安定药。催眠安定药的毒性主要表现在对中枢神经系统的抑制,量大时对循环系统和呼吸系统也产生抑制,最后能麻痹呼吸中枢致死。

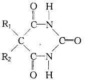
巴比妥类安眠药,是一种常用的安眠药。其分子结构通式为:

式中的R1和R2为取代烃基,一般多为烷烃、不饱和烃、卤烃、环烯烃或芬香烃。不同的取代烃基,构成各种各样的巴比妥类安眠药。它的品种很多,但在国内生产使用的只有巴比妥、苯巴比妥、戊巴比妥、异戊巴比妥、速可眠和硫喷妥等1o多种。医疗上常用作催眠、镇静、抗惊厥和基础麻醉等。由于这些药物使用面广,应用较多,一般易于获得,因而用以自杀和他杀及服用过量造成药物中毒等事件时有发生。巴比妥类安眠药,多为白色结晶或结晶性粉末,无臭(硫喷妥钠呈浅黄色、略有蒜样臭味)、味苦,显弱酸性。一般多为口服药,但也有注射用的。如硫喷妥就常用于静脉注射,做手术麻醉用。巴比妥类安眠药的中毒症状主要是:头晕、四肢无力,嗜睡、运动失调、逐渐昏迷、呼吸慢而弱、血压和体温下降,尿量减少甚至尿闭,最后知觉消失,出现休克,进而呼吸麻痹死亡。急性中毒死亡者,尸体皮肤多呈青紫色,嘴唇颜面与指甲多为浅蓝色,尸斑明显。解剖可见各脏器充血,肺水肿,有时还可在胃内发现未完全吸收的部分白色药物碎片或粉末。其中毒量和致死量因药物种类和人体情况而有很大差异。一般超过治疗量15倍,即可视为致死量。巴比妥类中毒检材可采取胃内容、胃、肝、胆、肠内容、心、肺、脾、尿、血等。检材处理常用直接提取法,沉淀蛋白提取法和斯-奥什法,在酸性条件下用乙醚等有机溶剂提取,提取液经净化后供分析。常用的定性定量分析方法有:气相色谱法、液相色谱法、薄层色谱法、紫外-可见分光光度法等。其中薄层色谱法定性通常先喷硫酸汞水溶液,则巴比妥类显白斑,再喷二苯偶氮碳酰肼乙醇液,则白斑变成紫斑。

吩噻嗪类药物在临床上是安定剂,具有镇静、镇痛和镇吐的作用。常见的有盐酸氯丙嗪(冬眠灵)、盐酸异丙嗪(菲那根)、奋乃静(羟呱氯丙嗪)、盐酸三氟拉嗪(盐酸三氟呱嗪)等。与吩噻嗪类药物相似的还有泰尔登。该类药物中毒症状与巴比妥类药物相似。与其相比,吩噻嗪类药物较不稳定,易被氧化,中毒后在体内可代谢为多种代谢物,主要代谢物为硫氧化合物(亚砜和硫砜)。

苯并二氮杂类药物是一类抗焦虑药,亦称弱安定药,常见的有利眠宁、安定、硝基安定、去甲羟基安定等。该类药物中毒与巴比妥类药物相似。这类药物中毒后,可在体内代谢为多种代谢物。与巴比妥类药物比较,这类药物毒性较轻、安全范围较大、较长时间服用无明显中毒症状,但有成瘾性,大剂量服用可致中毒。利眠宁致死量大约为2克,致死血浓度为2毫克/100毫升,安定致死量约0.1~0.5克/公斤,致死血浓度大于2毫克/毫升。

导眠能、安眠酮与眠尔通等临床上主要用于催眠,中毒症状与其他催眠药相似。导眠能中毒量为5克,中毒血浓度为1~8毫克/100毫升,致死量为10~20克,致死血浓度为3-10毫克/100毫升。眠尔通10~20克可引起死亡。安眠酮中毒死亡者血中浓度为3.8~5.8毫克/100毫升。

随便看

 

文网收录3541549条中英文词条,其功能与新华字典、现代汉语词典、牛津高阶英汉词典等各类中英文词典类似,基本涵盖了全部常用中英文字词句的读音、释义及用法,是语言学习和写作的有利工具。

 

Copyright © 2004-2024 Ctoth.com All Rights Reserved
京ICP备2021023879号 更新时间:2026/1/16 22:41:55