允许吸上真空高度的计算
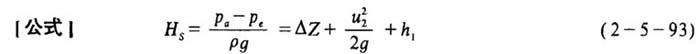
[说明]离心泵所处环境的大气压强形成的压头与泵入口处的静压头之差,称为允许吸上真空高度。在泵的性能表中,通常对允许吸上真空高度的环境条件有特定的规定,如果泵的实际操作环境与性能表中的特定环境有出入,则需对允许吸上真空高度进行校正。校正的方法是:在输送水时,作用于液面上的压力减少多少,则允许的吸上真空高度也要减少多少;饱和蒸汽压增大多少,则允许吸上真空高度也要减少多少。若输送的是其它液体,则需进行容重校正,见后面第“(四)”中的实例。  式中 HS——允许吸上真空空度(m) 其它同上 |