网站首页  词典首页

请输入您要查询的字词:

 

字词 胡萝卜素
类别 中英文字词句释义及详细解析
释义

胡萝卜素carrotene

类胡萝卜素中的一类四萜碳氢化合物色素。分子式为C40H56,有α-型、β-型和γ-型等多种立体异构体。植物体中以β-胡萝卜素含量最多。长链分子中存在共轭双键,色泽橙黄。胡萝卜素的溶度特性与叶黄素不完全相同,仅溶解于石油醚、己烷等非极性溶剂中。在己烷中α-胡萝卜素的3个吸收峰值分别为420 nm、440 nm和470 nm。胡萝卜素的分布和功能见“类胡萝卜素”,在动物体内经水解可转变为维生素A。

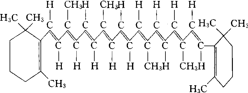
β-胡萝 卜素的结构式

胡萝卜素

胡萝卜素huluobosu

类胡萝卜素的一种。它是不饱和的碳氢化合物,分子式为C40H56。有α、β、γ三种异构体,在绿色植物中主要是β-胡萝卜素。胡萝卜素不溶于水,能溶于己烷、石油醚等有机溶剂中。它主要吸收蓝紫光,呈橙黄色。胡萝卜素和叶黄素存在于所有光合细胞的叶绿体中,它们能保护叶绿素免受光氧化而被破坏,另外它们吸收的光通过传递,可用于光合作用。胡萝卜素还含于胡萝卜根、南瓜果肉、柑桔果皮等中。胡萝卜素在动物和人体内可转化成维生素A。各种含胡萝卜素的水果(如杏、芒果、枇杷等)、蔬菜可作为动物和人类维生素A的来源。

☚ 向水性   叶黄素 ☛

胡萝卜素

见“类胡萝卜素”。

随便看

 

文网收录3541549条中英文词条,其功能与新华字典、现代汉语词典、牛津高阶英汉词典等各类中英文词典类似,基本涵盖了全部常用中英文字词句的读音、释义及用法,是语言学习和写作的有利工具。

 

Copyright © 2004-2024 Ctoth.com All Rights Reserved
京ICP备2021023879号 更新时间:2026/3/31 12:22:59