网站首页  词典首页

请输入您要查询的字词:

 

字词 光学元件列阵的赝相位共轭特性
类别 中英文字词句释义及详细解析
释义 光学元件列阵的赝相位共轭特性

自从1972年B.YaZel’dovich首次在受激布里渊散射中发现相位共轭以来,人们已在多种非线性光学效应中发现了相位共轭特性。

但由于非线性相位共轭必须要用激光作为泵浦,只能工作于狭窄的波段,工作面积仅限于非线性相互作用的较小区域。受非线性光学效应的阈值影响,很难用于高功率激光。因而,迄今有关非线性光学相位共轭方面的研究还仅局限于实验室中。

1978年V.K.Orlov等发现后向直角反射器列阵具有近似的相位共轭(即赝相位共轭)特性。

此后,人们已对各种光学元件,列阵的赝相位共轭特性进行了理论和实验研究(宋如华,1988)。由于赝相位共轭镜(PPCM)具有工作面积大、响应速度快、价廉易得,能工作于白光和无源被动等优点,因而是相位共轭器进入实用化的一种有效途径。

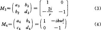
作为相位共轭器件的相位共轭镜(PCM),其工作特性可用光场与物质的非线性相互作用来描述,但其过程及形式过于繁复。为此,A.Yariv等1979年根据相位共轭镜对光波的变换特性,提出了描述相位共轭器的光线变换矩阵:

王绍民等则提出了描述相位共轭镜工作特性和第二类变换矩阵(适用于参考消息光束的变换)

其中ρ为入射光束波阵面在(PCM处)的曲率半径,这意味著PCM的有效曲率半径随入射光束的曲率而变,因而是真正的“自适应”,故(2)式更能反映PCM的工作特性。

进一步,我们导出了与(2)式等效,但具有不同形式,因而能揭示PCM更深的工作机理的变换矩阵的另3个形式

式中k为入射光波矢,ω为光束半径,ρ为光束波阵面的曲率半径,

总之利用(1)~(5)式,不仅能简洁明了地描述PCM的工作特性,而且对处理一些有关PCM的问题十分方便。例如,在讨论相位共轭光腔PCR时,利用矩阵方法,则很容易将列阵的赝相位共轭特性与非线性相位共轭特性作比较,对研究列阵间成像特性具有重要意义。

王绍民从几何光学理论出发,利用光线变换矩阵,运用4×4阶增广矩阵及失调矩阵方法,导出了球形光学元件列阵的几何光学成像公式。

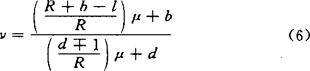
其结果是对于曲率半径为R的球形列阵,当单元变换矩阵元为a、b、c、d时,则列阵成像的物距μ和像距v之间的关系为

其中l为单元的纵向尺寸,(6)式相应的光线变换矩阵为

对于平面列阵,(R→∞),(6)式和(7)变为

因而,上式中只要b=0,d=-1,则有

V=-μ (9a)

显然(9)式与相位共轭镜的成像特性相同,故知道这种列阵具有赝相位共轭的成像特性。例如,直角反射器,猫眼光学单元组成的列阵,就具有上述性质。进一步,王绍民利用移动参考面技巧,推出16种光学元件,其所组成的列阵具有赝相位共轭特性。

另一方面,人们利用各种单元组成的列阵进行了赝相位共轭成像及光波相位畸变补偿实验。

各种实验均表明,所预言的各种光学单元组成的列阵,确实具有近似的相位共轭特性及一定的补偿波前相位畸变的能力。但同时也发现,这种补偿是不完全的,因而其赝相位共轭特性只能得到部分演示;而且实验中还发现各种单元组成的列阵其补偿相位畸变的能力是不同的,即实际的列阵成像与由光线光学理论导出的理想赝相位共轭成像有差异,并且这种差异是随不同的开阵单元而不同的。

为此,我们进一步考虑了实际列阵的尺度不能作为傍轴近似的情况结果表明,对于不同单元组成的列阵,其成像特性是不同的,即其补偿能力是不同的,且所有已知光学元件作为列阵其成像不是完全理想的相位共轭器,相应列阵的综合成像变换矩阵为:

其中d、b、c、d为列阵单元的变换矩阵,为入射光学的倾角,由上式与(8)式比较可知,M不仅与b、d有关,还与a、c有关,因而尽管16种列阵满足b=0,d=-1,但其变换矩阵

仍与PCM的变换矩阵有差异,由此说明了实验中所出现的一些现象:16种列阵中,不同单元a、c值不同,且由于多出与相关的项,使列阵的成像偏离理想的赝相位共轭成像。

由于列阵各单元的尺度是相对较小的,因而更严格的理论应该用波动光学理论来描述。

为此,周国生等提出了列阵成像的衍射理论,在傍轴近似下,他们利用光学程函及菲涅耳成像理论,分析了列阵的赝相位共轨成像特性及其补偿相位畸变的能力。研究结果表明,所得出的主要结论与由光线光学得到的一致,这是由于两者均利用了傍轴近似;但用衍射理论更细致地刻划了成像的机理和性质。由于出发点仍是傍轴近似,因而仍无法解释一些实验现象。为此,我们进一步对列阵的衍射成像进行了分析,在保留高阶近似后,利用衍射积分公式,得到了物场经过列阵后,在像平面上的像场分布

其中式内各参量的意义从略,由(12)式若令

A12=B12=0 (13)

即可得列阵的单元成像位置,当A11=B11=0则得像物极大值点(即衍射极大)位置。

由式(13)可得确定单元像点位置(x2m,y2m,W)的方程。若式(12)中令

|KR2a2A12《π,|KR2a2B12|《π

b2=b1=a1=0

(14)

则可得综合像平面的位置及像面上的场分布。

当满足

则可过渡到傍轴近似情况;而对于平面列阵,则可得满足综合成像的条件:a=-1,b=0,d=-1,W=μ,M=1,及

此时,综合像具有赝相位共轭特性。

事实上,要使列阵具有理想的赝相位共轭特性,对单元的要求是比较高的,即对a、b、c、d4个单元矩阵元均有要求,由此可说明实验中观察到的现象。

进一步,当引入畸变介质,我们得到了普适意义下列阵的成像理论,并证明了当列阵满足一定条件时,它可以消除宏观及微观畸变。此外,目前我们正在利用计算机对列阵成像进行计算机模拟实验研究,以算得在有畸变介质存在时,各种不同单元所组成的列阵的成像规律及消畸变特性,进一步工作正在进行之中。

(成都电子科技大学应用物理系宋如华撰)

随便看

 

文网收录3541549条中英文词条,其功能与新华字典、现代汉语词典、牛津高阶英汉词典等各类中英文词典类似,基本涵盖了全部常用中英文字词句的读音、释义及用法,是语言学习和写作的有利工具。

 

Copyright © 2004-2024 Ctoth.com All Rights Reserved
京ICP备2021023879号 更新时间:2025/10/18 18:54:21