网站首页  词典首页

请输入您要查询的字词:

 

字词 脂类
类别 中英文字词句释义及详细解析
释义

脂类lipids

一大杂类难溶于水而易溶于亲溶剂的生物物质。包含许多在化学上彼此无关的化合物。通常将脂类分为两大类:一类是可以皂化的脂,称为复杂脂,包括酰基甘油酯类、磷酸甘油酯类、鞘脂类和蜡等; 一类是不可皂化的脂,称为简单脂,包括萜类化合物、甾类化合物和前列腺素类等。
复杂脂
酰基甘油酯类 由脂酸和甘油所形成的酯。三酰甘油酯是酰基甘油中的大类。其结构如下:


酰基甘油酯可皂化,形成甘油和脂酸的钠盐(肥皂)。在动物、植物体内三酰甘油是作为细胞贮脂的主要组分。在自然界也存在二酰甘油和单酰甘油,但含量极少。其他酰基甘油类如烷基醚酰基甘油及糖基酰基甘油两类,它们有烷基醚二酰甘油、半乳糖基酰基甘油以及鲨肝醇等。其结构如下。


磷酸甘油酯类 另一类含甘油的脂类。磷酸以酯键与甘油结合。最重要的是卵磷脂和脑磷脂,前者碱基为胆胺,后者碱基为乙醇胺,所以卵磷脂又称磷脂酰胆碱(胆碱磷酸甘油酯),脑磷脂又称磷脂酰乙醇胺。它们的化学结构如下:


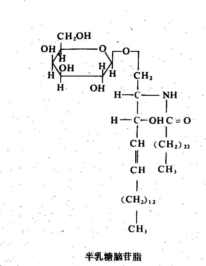
鞘脂类 主要成分是鞘氨醇或相应的碱。它又分碱性鞘脂、中性鞘脂、酸性鞘脂和糖鞘脂。主要有神经酰胺、半乳糖脑苷脂、唾液酸(N-乙酰神经氨酸)、N-乙酰D-半乳糖胺。它们的结构如下:


蜡 由高级脂酸和高级一元醇所结合的脂。一般是固体,不溶于水,温度稍高时变软。按来源可分为植物蜡和动物蜡。植物蜡如巴西棕榈蜡、糠蜡; 动物蜡有蜂蜡、羊毛内蜡、虫蜡、鲸蜡。此外尚有矿蜡,如石蜡、地蜡。
简单脂 简单脂的特点是都不含脂酸,它们的结构十分复杂。

生物。萜类分类主要根据异戊二烯的数目来决定。2个异戊二烯构成的萜称单萜;3个异戊二烯构成的萜称倍半萜;4个异戊二烯构成的萜称二萜,三萜、四萜,依此类推。萜类有线状、环状以及二者兼有形式。各类重要萜的化学结构如下:


甾类化合物 基本结构为环戊烷多氢菲。在生物体内,它可以游离状态或以与脂酸结合成酯的形式存在。重要的甾类化合物有胆固醇、麦角固醇,重要的衍生物有胆汁酸。它们的化学结构为:


前列腺素类 其基本结构是由廿碳不饱和脂酸衍生出来的前列腺酸。重要的前列腺素有前列腺素A1(PGA1)、前列腺素B1 (PGB1)、前列腺素E1(PGE1)、前列腺素F1α(PGF1α)和前列腺素F2α(PGF2α)。它们的化学结构为:

脂酸 复杂脂类的特有组分。从动物、植物和微生物中分离出100多种脂酸,绝大多数都是长烃链和一个末端羧基,少数有支链。脂酸可分饱和脂酸与不饱和脂酸两类。不饱和脂酸含一个或多个双键。多种脂酸的区别主要在于碳氢链的长度及不饱和双键数目和位置。体内脂酸其碳原子多为偶数,链长一般由C2至C38组成,但C16~C18的脂酸占优势。在农作物中,最常见的重要饱和脂酸有月桂酸、豆蔻酸、棕榈酸和硬脂酸,不饱和脂酸有油酸、棕榈油酸、亚油酸、亚麻酸、桐酸、花生四烯酸和蓖麻酸等。它们的分子结构如下:


脂酸均能溶于乙醚、氯仿、苯和酒精中,在水中的溶解度随分子量增加而减小。低碳数的脂酸是无色液体,易溶于水,有刺激气味; 中碳数的脂酸是油状液体,微溶于水,在有乳化剂(如肥皂、胆汁酸盐)的存在下,可与水混合成乳状液;高碳数的脂酸是固体,不溶于水,其熔点则随碳原子数目的增加而上升,有折光性。不饱和脂酸的折光率一般比饱和脂酸的折光率高。脂酸与碱(NaOH,NaHCO3)作用生成盐,脂酸与醇作用可生成酯。在催化剂(Ni等)的影响下,不饱和脂酸的双键上可加氢而成饱和脂酸。卤族元素中的碘、溴同样可加入不饱和脂酸的双键上,从而产生饱和的卤化脂。从加碘数目的多少,可以推测油脂中不饱和的程度。油脂的不饱和度用碘价表示,即100克脂类样品中所能吸收碘的克数。不饱和脂酸与氧作用,可产生脂酸的过氧化物; 过氧化物可进一步分解产生醛及酸,放出臭味,即酸败。
脂类

脂类

脂类包括脂肪、磷脂和胆固醇等,它们都难溶于水。下面分别介绍这三种脂类物质。
❶脂肪:脂肪由无数个甘油和脂肪酸结合而成,也是人体的燃料,和糖类比较,糖供给的能量占人体所需能量的绝大部分,脂肪只供给一小部分。但脂肪在体内的储存量大,占成年人体重的10%—20%,而糖的储存量不到体重的1%。所以脂肪是人体的主要后备燃料。
❷磷脂:磷脂的结构与脂肪的结构很类似,但除了甘油和脂肪酸外,还有磷酸和胆碱(或胆胺)。磷脂容易和其他物质结合,例如磷脂和蛋白质结合形成脂蛋白,是构成细胞膜的成分之一。
❸胆固醇:胆固醇存在于全身组织内,其中,胆汁、脑和内脏中含量特别多。胆固醇在人体许多组织中均能合成,它在体内可以转变为许多重要物质,例如,皮肤内的胆固醇在阳光照射下可生成维生素D,胆固醇又是合成性激素和肾上腺皮质激素的原料。

☚ 人体内主要化学物质的含量   蛋白质 ☛

脂类lipids

又称脂质。脂肪和类似脂肪物质的统称。以脂肪为主体分为真脂(脂肪)和类脂(类似脂肪的其他脂类化合物)两类;按组成和结构分为单纯脂(脂肪、蜡)、复合脂(磷脂、糖脂)和异戊二烯脂(萜、固醇)3类。单纯脂与复合脂为可皂化的脂,异戊二烯脂为不可皂化的脂。它们在结构和功能上并不同类,但分子中碳氢比例都较高,易溶于非极性或弱极性的有机溶剂而难溶于水,在体内往往互溶或结合在一起,代谢联系较为密切。是生物体的重要组成成分,具有多种生理功能。

脂类

一类难溶于水而易溶于非极性溶剂的有机生物分子。主要由C、H、O3种元素组成,某些脂类含有N和P元素。脂类的基本成分是脂肪酸,脂肪酸是14~22个碳原子组成的链。一些脂类的另一组成成分是甘油,甘油是3个碳原子连成的一条直链,每个碳原子与一个OH根相连。脂类通常分为2大类:不可皂化的脂类,即简单脂;可以皂化的脂,即复杂脂。脂肪和油脂都是由3个分子脂肪酸和1个分子甘油结合而成。

脂类

脂类zhilei

指用非极性溶剂(如氯仿或乙醚)从生物细胞或组织中提取的、不溶于水的油性有机物,又称脂质。脂类有几种不同的分类方法。主要有酰基甘油类(中性脂肪),磷脂类、鞘脂类、固醇与脂肪酸构成的酯(类固醇)及蜡。其他已知的脂类在动物组织中较少,如萜类由5碳单位异戊二烯构成,是植物芳香油和色素的主要成分。脂溶性维生素A、E、K是异戊二烯的衍生物。脂类有多种生物功能。最丰富的脂类是三酰基甘油(脂肪),它们是多数生物的主要燃料,是化学能的最重要贮存形式。磷脂等具有极性的脂类是细胞膜的主要成分,细胞膜的许多性质是其极性脂类成分的反映。

☚ 糖代谢   类脂 ☛

脂类lipid

指中性脂肪和类脂及其许多衍生物(包括脂蛋白)的总称。其共同性质是不溶于水或微溶于水,仅溶于有机溶媒如乙醚、氯仿及丙酮等。正常人含脂类占体重的14~19%,胖人约占32%,过度肥胖者可达60%。绝大部分是以甘油三酯形式储存于腹腔、皮下及肌纤维间的脂脂组织中,称储脂。因其受营养状况和机体活动的影响而增减,故亦称可变脂。作为组织基本结构的类脂,约占总脂的5%,因其不受营养状况和机体活动的影响,称固定脂或基本脂。

脂类

脂类

脂类是动植物组织中一类重要的有机化合物。它不是按相同的成分与结构而划分出来的一类化合物,仅仅是用脂溶剂从动植物组织中提取所得的各种化合物的总称。Bloor(1943)曾提出,脂类应具有三个特征:
❶不溶于水,但溶于一种或一种以上的有机溶剂,如乙醚、氯仿、苯、丙酮等;
❷能与脂肪酸形成天然存在的酯或人工合成的酯;
❸能被活体利用。这一标准沿用多年,至今仍有人引用。但已发现有的脂类化合物有相当的水溶性,有的能与脂肪酸形成酰胺而非酯。因此,可以认为脂类是一些与脂肪酸有实际或潜在关系的不均一物质,较不易溶于水,而溶于非极性溶剂中,且是膳食的重要组成。脂类英文名词有lipoid、lipin及lipid等,经(IUPAC)国际纯化学和应用化学联合会建议,现基本统一采用lipid(脂类)一词。
过去曾将脂类分为三大类,即单纯脂肪、复合脂肪及衍生脂肪。单纯脂肪系脂肪酸与醇生成的酯,包括三脂酰甘油及蜡。三脂酰甘油旧称甘油三酯,亦即所谓的真脂。蜡系脂肪酸与高级醇(非甘油)所形成的酯。例如蜂蜡中富含的棕榈酸三十酯,都属于蜡。单纯脂肪中含碳、氢、氧等元素,不含其它。复合脂肪分子中除含脂肪酸的酯外,还含有含氮物及磷酸。复合脂肪中最广泛存在的是甘油磷脂,其次是神经鞘脂、糖脂等。脂蛋白可归入复合脂肪。衍生脂肪包括由上述脂类水解后所得到的化合物,如甘油、脂肪酸、胆固醇、高级醇、脂肪醛、酮体等。
目前脂类常按下列方法分类,此法较多地考虑了化学组成和结构上的特点。
(1)脂肪酸(包括前列腺素
(2)含有甘油的脂类:
❶中性脂肪:脂酰甘油、甘油醚、糖基甘油。
❷甘油磷脂:磷脂酸类及其衍生物。
(3)不含甘油的脂类:
❶鞘脂类: 神经酰胺、鞘磷脂及糖鞘脂等。
❷脂肪族醇及蜡。
❸萜类(包括维生素A及胡萝卜素等)。
❹类固醇。
(4)与非脂类物质结合的脂类: 脂蛋白、蛋白脂、磷脂酰肽、脂氨基酸、脂多糖。

☚ 血糖   脂肪酸 ☛

脂类

脂类

脂类是脂肪和类脂及其许多衍生物的总称,是一类不溶于水而易溶于非极性有机溶剂的物质。脂肪在细胞中多以油滴形式存在,其含量直接受营养状况和机体活动量的影响,变动幅度较大。脂类为构成生物膜的基本成分,营养等条件的改变对其影响极小。不同脂类的生理功能不同,大体上可概括为:
❶膜结构的基本成分;
❷代谢燃料——能源的储存和运输形式;
❸参与某些酶系的组成;
❹细胞识别和免疫有关的细胞表面成分。脂类还是许多生物的保护外层。有些属于脂类的物质具有强烈的生物活性,如某些维生素和激素。
脂类是一群特殊的生物分子,有几种不同的分类方法。根据其化学组成可分为单脂和复脂两大类,单脂是脂肪酸与醇(甘油)组成的脂类; 复脂是除脂肪酸与醇之外还含有其他非脂性物质,如糖脂、磷脂及含氮碱类等。最好的分类方法是以它们的骨架结构为基础。把脂类分为脂肪(及其组成成分脂肪酸)、磷酸甘油酯、鞘磷脂、糖脂和甾类化合物(或称类固醇)等类别。
脂肪 是由一分子甘油和三分子脂肪酸以酯键结合的三酰甘油或称甘油三酯。
脂肪酸是直链脂族烃有机酸,一般含一个羧基,其化学式为: CH2—(OH2)n—COOH
天然产生的脂肪酸n值在12—22之间,而且常为偶数。脂肪酸的烃链中碳原子间全部以单键相接者称为饱和脂肪酸,如CH3—(CH2)14—COOH软脂酸(棕榈酸);烃链中含有双键者称不饱和脂肪酸,如CH2—(CH2)1—CH=CH—(CH2)7—COOH,即油酸;也有烃链中含两个双键者如CH3—(CH2)4=CH=CH—CH2—CH=CH—(CH2)7—COOH,即亚油酸。
人及动物体内的脂肪含的大多是饱和脂肪酸。不饱和脂肪酸如棕榈油、橄榄油、玉米油、花生油等多来源于植物。有些不饱和脂肪酸,例如亚油酸、亚麻二烯酸、花生四烯酸等动物本身不能合成,必须从植物中获得,称为必需脂肪酸。必需脂肪酸是生物合成一组脂肪酸衍生物所必需的前体物,这些脂肪酸衍生物,例如前列腺素,对许多重要生理活动都有显著功效,为一种类似激素的化合物。脂肪是由甘油分子中的三个羟基与三分子脂肪酸结合而成的三酰甘油。其结构式见图1。


图1 三酰甘油的通用结构式


x、y、z相同者为简单三酰甘油,其名称按照所含脂肪酸而命名。例如三个脂肪酸均为硬脂酸者称三硬脂酰甘油。如果x、y、z不同可能有两种或两种以上脂肪酸则称为混合三酰甘油。例如1-棕榈酰二硬脂酰甘油。含不同脂肪酸的脂肪,可出现不同的异构体。大多数天然脂肪是单纯和混合三酰甘油的复杂混合物。
三酰甘油在形成酯时,脂肪酸的羧基与甘油的羟基相互中和,故脂肪呈中性为非极性化合物,不溶于水,不能在水溶液中形成胶粒而悬浮。人体内贮存的与食物中的大部分脂肪均为中性脂肪,二酰甘油和一酰甘油则为极性化合物,因它们有游离的羟基,能够形成胶粒。三酰甘油用酸、碱煮沸或用脂酶消化可水解为甘油和脂肪酸,用碱水解称为皂化作用,生成皂类混合物和甘油。
脂肪的主要作用为氧化供能,1g脂肪氧化释放能量约37.66kJ(9 kcal),比一克糖氧化放能高一倍。故脂肪是人及动物体的主要能量物质。
脂肪的另一种功能为协助脂溶性维生素的吸收如维生素A、D、E、K和胡萝卜素等。脂肪分布于皮下内脏各器官之间可隔热和防止磨擦。
磷酸甘油酯 也称为甘油磷脂或磷脂,是细胞膜特有的重要成分:其化学组成除由磷酸取代一分子脂肪酸外,与三酰甘油相似(图2)。其磷酸基与其他小分子亲水化合物如乙醇胺、胆碱、丝氨酸结合可形成各种磷脂(表)。


图2 磷酸甘油的通用结构式


几种甘油磷脂的X基团


这种分子具非极性(疏水)尾部和极性(亲水)头部,为亲水脂分子。在水溶环境中活细胞的膜由这种分子密集排列为双分子层,其疏水性尾部排斥水分子朝向中间,亲水性头部朝向双分子层的外侧与水接触,构成生物膜的结构基础(图3)。高等动植物中最多的磷酸甘油酯为磷脂酰乙醇胺和磷脂酰胆碱。极性头部分别为乙醇胺和胆碱,这两种磷酸甘油酯是大多数动物细胞膜的主要成分。


图3 脂类双分子层示意图


图4 缩醛磷脂的结构


磷酸甘油酯的两烃尾部之一为脂族链取代,则为缩醛磷脂(图4)。缩醛磷脂在肌肉和神经细胞膜上特别丰富。
鞘磷脂 为一种复杂的脂类,其主链中含鞘氨醇或某些有关碱(二氢鞘氨醇、神经酰胺),是动、植物细胞膜的重要成分,动物脑和神经组织含量尤多。所有鞘脂类均由三种成分组成:一分子脂肪酸,一分子鞘氨醇(或其衍生物)和一个极性头部。可视为鞘氨醇的衍生物,在鞘氨醇骨架中氨基连接一个脂肪酸,羟基被酯化为磷酰胆碱。神经鞘磷脂因在围绕神经细胞的髓鞘中特别丰富而得名。其结构式见图5。
糖脂 为另一大类含糖的脂,其组成除极性头部被一个或几个单糖取代外,与鞘脂类很相似。其单糖或为葡萄糖或为半乳糖。最简单的糖脂为脑苷脂,其结构式见图6。脑苷脂在脑白质和神经髓鞘中含量最多,肾、肝、脾细胞中也有,但含量甚少。
神经节苷脂为另一种糖脂,结构较复杂,在大脑灰质中含量很高约占脂类总量的6%,但在非神经组织如红细胞和脾脏中也有小量存在。其组成除含神经鞘氨醇、脂肪酸和糖外,还含有神经氨酸(唾液酸)通过糖苷键与葡萄糖相连。


鞘氨醇的结构


图5 鞘氨醇与鞘磷脂的结构


图6 脑苷脂的结构


糖脂在膜中虽属次要成分,但在许多特殊功能中占重要地位,例如神经末梢神经节苷脂特别丰富。某些细胞表面的糖脂不仅与血型特异性有关,也与器官组织的特异性有关。组织免疫性以及细胞(细胞识别部位)也与这些复杂脂类的存在密切相关,癌细胞的糖鞘脂也与正常细胞不同。
甾类化合物(类固醇) 是一类有重要生理功能的复杂脂类。在化学组成上全部为环戊烷多氢菲的衍生物,环戊烷多氢菲是由一个环戊烷与三个非直线结合的环己烷组成的骨架结构(图7)。甾类化合物的性质,决定于在骨架上取代的各种功能基团(图8)。


图7 环戊烷多氢菲


胆固醇是动物细胞质膜中了解最清楚的重要成分。也是动物组织中许多其他类固醇的前体物,包括胆汁酸(即在肠内有助于脂类的乳化和吸收)、雄性激素、雌性激素及肾上腺皮质激素等。这些激素在体内均具有十分重要的生理功能。
维生素D也是一种甾醇,前体是7-脱氢胆固醇,存在于哺乳类皮肤中,经日光紫外线照射后,转化为活性形式——维生素D,即骨化醇,维生素D可调节钙的吸收及骨胳的正常钙化。


图8 几种甾类化合物

☚ 核酸   细胞的超微结构 ☛
00014399
随便看

 

文网收录3541549条中英文词条,其功能与新华字典、现代汉语词典、牛津高阶英汉词典等各类中英文词典类似,基本涵盖了全部常用中英文字词句的读音、释义及用法,是语言学习和写作的有利工具。

 

Copyright © 2004-2024 Ctoth.com All Rights Reserved
京ICP备2021023879号 更新时间:2026/4/30 13:36:20