网站首页  词典首页

请输入您要查询的字词:

 

字词 光谱光度学
类别 中英文字词句释义及详细解析
释义 光谱光度学

研究光谱测量的科学,包括紫外、可见、红外光谱波段光谱位置、光谱强度、光谱轮廓、光谱辐射寿命、光谱辐射偏振度和光谱辐射相干性的测量,是近代光学计量科学的重要分支学科。

它已广泛地应用于信息工程与光电子工业、能源工程、空间工程、资源开发、化工、石油、纺织、冶金及新型材料工业和环境保护。它研究的主要内容有:(1)光谱辐射特性的测量和光谱辐射标准;(2)研究和发展光谱测量方法与技术;(3)研究和发展光谱测量系统。

早在原始人类发展时期,就对颜色现象进行了观察,但直到1666年牛顿(Newton)才科学地用玻璃三棱镜进行了著名的太阳光色散实验,在屏上看到了太阳彩色分光现象,牛顿把屏上得到的彩色图样称作为光谱(Spectrum),这是有历史记载的第1次观察太阳光谱。

从光谱测量的发展历史来看,大致可以分成3个时期。

萌芽与发展时期(1666年~19世纪末) 牛顿通过实验发现,白光由各种独立颜色的光混合而成,他认为与各种颜色相联系的光微粒会激发以太进入各种特征振动,而红色的感觉对应于以太的最长的振动,紫色则对应于最短的振动。

早在1729年,法国的布盖(Bouguer)发明了光度计,用以比较天体的亮度,这种思想后来也用于目视的分光光度测量。

1760年朗伯(Lambert)建立了一套完整的光度学原则,光度学诞生,标志著光度学已成为一门独立的学科,这些原则也适用于分光光度测量。

1802年,渥拉斯顿(Wollaston)观察到太阳连续光谱中的暗线(他误认为是颜色的分界线),他还首次描述了火焰光谱。

1815年,夫琅和费(Fraunhafer)发明了用准直光管、三棱镜、望远镜组成的分光镜(Spectroscope),用狭缝代替了牛顿时期用的针孔,这是光谱仪器制造的一大进展,他用分光镜测量太阳光谱中的暗线,确认了大约700条太阳光谱的暗线,并且用字母A到H标志其中8条暗线,他还用10.16cm望远物镜和火石玻璃棱镜组成的光谱仪首次观察了恒星的光谱和行星的光谱。

小赫舍尔(J.F.Herschel)研究了盐类的火焰光谱,他发现不同金属的盐类具有不同颜色的火焰光谱。

之后,埃斯屈朗(Angström)在1885年发表了一系列金属的光谱,还描述了气体光谱和吸收光谱,通过一系列观察,人们认识到每一种元素有自己标志的发射和吸收光谱。

1859年,基尔霍夫(Kiichhoff)指出了光的吸收和发射关系的普遍公式,而且强调了不同元素发射标志谱的重大意义。

他指出:“整个物体在相同温度下,对于同一波长光线的发射率与吸收率之比是一个常数。”在相同的温度下,气体发射标志的线光谱,也吸收它辐射和线光谱。钠的火焰会吸收比它强的相同的黄光。他认为太阳光谱中的暗线是由于太阳内部发射的连续光谱被太阳周围冷却了的气体中的一些元素的强烈吸收造成的。他发现太阳光谱中的夫琅和费暗线和已知元素的发射线相重合,这个发现在很大程度上证明了地球外星体上的物质和地球组成物质一样,都是由相同的化学元素组成的。他和本生(Bunsen)检验了一些纯金属元素的火焰光谱和火花光谱,他们确认在太阳中存在一些金属元素。

基尔霍夫编制了很完整的太阳光谱图和许多金属元素的光谱图,可惜他没根据波长来定位,以致不能用作太阳的标准光谱。1864年哈根斯(Huggins)用分光镜研究星云,揭示了它们的组成结构,并发现行星状星云所发出两条特殊的绿色谱线,直到1941年才揭示它们属于镍、钙的禁线。

之后,1865年他用光谱方法发现一些亮星含有钠、钙、镁、铋等元素。

总之,在这个时期,确定了每种元素有自己的标志谱,并且测定了许多元素的标志谱;而且利用光谱方法对太阳、星体和地球上的物质成分进行了检测。

1802年,杨(young)根据光的波动说,很精确的测量了薄膜干涉的7种颜色的光谱区为:675~427nm,这是有史以来第1次确定了可见光的光谱范围。

1822年,夫琅和弗用自己刻制的透射光栅,精确地测定了钠的双黄线,它的测量值为588.6nm和589.0nm,这是历史上首次对光谱线波长的测量,他还首次编制了约有700条光谱线的太阳光谱图。

1868年埃斯屈朗(Angstrom)在对太阳光谱作了大量研究后,给出了有近千条太阳光谱线的谱线表。他用3块玻璃光栅通过细致的测量确定了绝对波长,而且用埃(Å)(1Å=10-10m)作为光谱波长的单位。

之后,由于照相干板明肢技术的发展,照相纪录方法已可实用,改善了光谱测试精度。

另一方面,由于光栅刻制技术的进展而发明了凹面光栅。1887年罗蓝(Rowland)发表了新的太阳光谱谱线表。几年之后,又发表了许多元素的光谱表和太阳光谱夫琅和费暗线谱表,他对钠黄线测量并进行了加数平均,测量Na黄线的波长为589.156×10-10m,罗蓝确信在2132.91×10-10m到7714.68K×10-10m光谱区,他的测量精度到0.01×10-10m。

1893年,迈克耳逊(Michelson)采用干涉法,以巴黎的标准米尺(当时国际的长度基准)对3根镉(Cd)元素的谱线波长进行了比较测量,他的测量精度超过了以前的工作(见表1)。

表1 镉(Cd)波长

迈克耳逊经过测量发现钠(Na)黄线的谱线太宽不适宜作为波长的标准。

1900年,法卜利-珀罗(Fasbry-perot)扩展了干涉方法,根据迈克耳逊的测量值确定了一些元素的光谱线波长,1905年他正式选用一些谱线作为次级标准,1922年正式采用铁谱和稀有气体元素的光谱线作为次级标准。

1800年英国赫舍尔(W.Herschel)用灵敏的温度计研究太阳的热分布时,发现在太阳光谱的红端外边有很强的辐射热,他首次发现了太阳的红外光谱,但当时没认识到这是一种光而误认为是辐射热。1834年意大利的梅伦尼(Melloni)在进行热幅射红外线的反射、折射、吸收等实验中发现红外线本质上和光类似。1864年克诺布劳赫(Knobiauch)用干涉、衍射和偏振实验证明了人眼看不见的红外线和可见光的区别仅在于它的波长较长。

1801年瑞脱尔(Writher)在研究照相干板时,发现光谱紫端的外部有很强的感光作用,从而发现了紫外线。19世纪中叶,进一步证实了光是电磁波,可见光是电磁波谱中很窄的一个区域,而紫外线和红外线也是电磁波。

1856年缪勒(Miiller)把新的照相技术应用于较短波长的紫外辐射。

1862年斯托克斯(Stokcs)发现石英在紫外区是透明的,他借助于弧光和火花光源观察了一系列金属紫外光谱。1863年马斯卡脱(Mascart)拍摄了太阳的紫外光谱(直到2950×10-10m),并确定了波长,罗蓝进行不精确的紫外光谱测量,并把波段扩展到2150×10-10m但由于照相干板明胶对短于2300×10-10m的紫外线有吸收,因此曝光灵敏度迅速降低,再加上大气中氧的吸收使向紫外波段扩展遇到了困难。舒曼(Schumann)采用荧石制造棱镜和透镜,而且把整个装置封闭在真空容器中,他成功地把紫外光谱延伸到200×10-10m(这是由于荧石紫外吸收的限制)。

1905年李曼(Lyman)采用凹面光栅反射系统代替荧石光学系统使紫外光谱延伸到500×10-10m,之后在对光源、光栅刻制技术进一步改进后,紫外光谱已经延伸到4×10-10m,进入软X光光谱区。

在红外光谱区,罗蓝采用红区灵敏的照相干板,将光谱延伸到7715×10-10m。

1880年阿勃尼(Abney)进一步改进照相干板后,将波段扩展到20000×10-10m。之后采用热电接收器成功地将红外光谱推向了远红外光谱区,直到与微波区连接。

牛顿的光谱实验装置仅有一个针孔、一块透镜和一块棱镜组成。夫琅和费使用狭缝制造了第1台棱镜光谱仪;并在棱镜的后面用望远镜来观察天体和各种元素的光谱线,他编制了有700条谱线(暗线)的太阳光谱图。

他还制造了第1台光栅光谱仪,用金钢石首次成功地刻制了每厘米3000条线与每厘米625条线的透射光栅,并根据光栅常数和衍射角来确定波长,其精确度达10-7cm,光栅的研制对光谱测量和光谱仪器的发展具有重要意义。

初步成熟和应用时期(19世纪末到20世纪50年代末) 1865年麦克斯韦(Maxwell)根据电磁理论总结出来的电磁运动方程方程式,预言了电磁波的存在并以光速传播。1888年赫芝(Hertz)通过实验发现了电磁波,并证实它具有光的一切特性——折射、反射、干涉、衍射和偏振,而且以光速传播,说明光是一种电磁波,从而建立了光的电磁理论。19世纪对红外线和紫外线的发现,扩展了光的波段,在长波方向与微波相衔接,短波与软X光相连。

19世纪末热幅射的光谱分布规律与光电效应的规律无法用经典理论解释等一系列矛盾,促使了近代量子理论建立。其建立和发展首先应用到原子、分子结构,并解释了光谱的产生,光谱与原子、分子结构的关系,建立了原子、分子光谱理论。

对于非相干光辐射,通常用黑体辐射源作为计量的基准。从理论上讲,任何物体只要它的温度在绝对零度以上,都能发射电磁波辐射。

19世纪60年代,基尔霍夫通过实验发现,物体的辐射本领(用辐射出度Me来量度)愈高,其吸收辐射的本领(用吸收率α来量度)也愈高,对所有物体而言,它们之间的比值是相同的,它是波长和温度的函数,与物体的材料和形状无关。

20世纪初,普朗克总结了黑体辐射的规律,给出了黑体的光谱辐出度Meλ是温度和波长的函数。

Meλ=c1·.λ-5(ec2/kT-1)-1

其中c1,c2分别为第1、第2辐射常数,c1=3.7408×10-16W·m2,c2=1.4388×10-2m·K

人的眼睛在可见区一定波长的光辐射刺激下,不但能产生明暗的感觉,还能产生颜色感觉。实验表明,任何一个颜色都能够用3个原色红(R)、绿(G)、蓝(B)的适当比例相加而获得。

若用(R)、(G)、(B)代表红、绿、蓝3个原色的单位量,用C代表混合得到的颜色,则可用下面的代数式表示

(C)=r(R)+g(G)+b(B)

式中r、g、b是3个系数,分别表示3个原色的匹配量,式中的等号代表匹配的意思。1929年莱特(Wright)用目视3色色度计进行颜色匹配所选用的三基色为650nm(红)、530nm(绿)、460nm(蓝)。用这3种原色可以匹配各种颜色,但是在匹配460~530nm一带光谱色和650nm的红色时,要出现负值。

莱特也曾用他的三原色系统匹配白色光源(色温为4800K),结果三原色量是不等的。

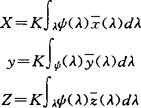
1931年吉尔德(Guild)制造的色度计的基色是用一个白炽灯(色温2900K)加上一定带宽的红、绿、蓝滤色片,三原色分别是630nm(红)、540nm(绿)、460nm(蓝),用这三原色相加匹配出的白色光(色温为4800K)是等量的。为了统一色度计量,1931年国际照明委员会(CTE)在莱特和吉尔德工作基础上,将确定700nm(红)、546.1nm(绿)、435.8nm(蓝)的三基色和以等能量白光(E)光源为标准的系统,称为“1931 CIE——”表色系统。用x、y、z3个数值表示一个颜色,称为光谱三刺激值,可用下列公式求得:

式中K为归一化系数,它是将照明体的y值调整为100时得出的;为标准色度观察者光谱三刺激值,也叫色匹配函数,是标准数据:ψ(λ)称为颜色刺激函数,它表示被测量颜色对象的光谱分布。对于光源来说,就是光源的相对光谱功率分布P(λ);对于透射样品来说,,τ(λ)是样品的光谱透射比;对于反射样品来说这里ρ(λ)是样品的光谱反射比。

对于光源的色度计量,实际上就是计量这个光源的相对光谱功率分布P(λ),因此从这个意义上讲颜色的测量实际上也是可见区的光谱光度测量。色度量值的传递用标准色板。

经光谱光度计量所得到的标准色板,给出标准的x、y、z三刺激值及标准的色品坐标x、y值,可用它来检定各种现场使用的色度计、色差计等颜色计量仪器。在各种颜色的标准板中,标准的白色漫反射板是最基本的标准。

早在1823年巴俾涅(Babiner)提出必须从可见光波长中而不是在实物尺寸中寻找长度基准。之后,进行了一系列研究工作。1906年,迈克耳逊对镉元素的红色辐射谱线波长λcd进行了计量,得到λCd=643.84696nm1927年国际协议决定将这条谱线作为光谱学的长度标准。但是由于天然元素是由比例(丰度)不确定的几种同位素的混合物,一些同位素的辐射具有超精细结构,而且实际上还存在多普勒增宽影响著复现性。到1960年,第11届国际计量大会认为1927年国际协议的米定义已经满足不了计量学当时所要求的准确度,提出用86Kr灯发射的606nm的橙黄色谱线作为波长标准,建立米的新定义为:米的长度等于86Kr原子的2P10和5d5能级之间跃迁所对应的辐射在真空中波长的1650763.73倍。同时国际计量委员会规定了氪灯的工作条件。

氪橙红的真空波长为:

λkr=605.7802103nm

在光谱测量中,将谱线直接与86Kr波长标准进行对比是很不方便的,因此国际上又规定了铁谱线和惰性气体的谱线为次级标准。从紫外区到红外线,列出了铁和一些惰性气体元素的光谱线。

在这一时期,光谱方法与光谱技术有了飞速地进展,这主要表现在:1928年,喇曼(Raman)发现透明物质散射的光有频率改变的效应,称作为喇曼散射。喇曼散射光谱方法克服了红外光谱技术上的一些困难,作为红外光谱互为补充的手段应用于分子结构及成分分析,而且发展了各种类型的喇曼光谱仪。

另一方面,红外材料,红外探测元件的进展,促进了红外光谱技术,红外吸收光谱已经广泛地应用于化学、石油、化工、药物分析。同时发展了各种进行红外光谱测量的红外光谱仪器。

60年代,各种调制光谱测量技术的发展,比较实用的是富里哀(Fourier)变换测量技术,这种技术和计算机技术的结合,发展了用于中、红外光谱的富里哀变换光谱仪。

火焰光谱、火花、弧光光谱作为发射光谱的测量分析方法已经成熟。

广泛地应用于矿物分析、金属及合金钢分析、纯物质分析。

原子吸收光谱测量技术也已经成熟,1954年沃尔许(walsh)发明了原子吸收光谱仪,并已应用于微量元素的测量分析。

原子束、分子束技术以及磁共振技术已经广泛地应用于消多普勒效应高分辨光谱测量,用来研究原子和分子的精细结构与超精细结构测量。

近代发展时期(20世纪60年代至今) 近代解决能源的几种主要途径都与光谱测量有关,如原子能利用问题,太阳能的利用,太阳能的发电、加热以及燃烧、节能技术、光合作用等均要进行光谱测量。

光谱测量与天体的研究始终紧密地联系在一起,是人类认识天体的重要手段。除了揭露天体结构、组成、运行规律外,近代科学技术已开始探索天体资源的开发和利用,促进了真空紫外及极远紫外光谱测量的发展。

地下资源(地面资源、也包括深地层资源)、水下资源的开发除了传统的逐点取样光谱测量分析外,已经采用光学光谱透感测量,利用卫星、航天飞机拍摄的地面、地物的反射光谱图,经过信息处理技术获取资源信息,也可用于环保与军事。近代大气污染、水的污染、自然环境的破坏已经严重威胁到人类健康地生活,采取遥控的共振荧光与散射光谱测量获得环境污染和环境保护的信息。此外,各种原材料、(包括冶金、矿物、化工原料等)、纯物质、药物、各种新材料的组成、结构,均迫切需要发展光谱测量技术。

经典光谱测量技术由于受到光谱分辨率、灵敏度的限制,时间和分析速度的限制已经不适应于科学技术的发展和应用的需要。

20世纪60年代激光科学技术特别是可调谐激光技术的发展,新型光谱探测元件及探测技术的发展,特别是光电二极管自校准技术和微弱光谱信息的接收和处理技术以及微处理机的应用,使光谱测量技术的发展产生了一个革命性的变化,进入了一个新的发展时期。这个时期的研究热点为:

1.激光光谱测量技术。1958年汤斯(Townes)和肖洛(Schawlow)提出了激光器的设计原理。导致了60年代激光技术的发展。

1960的梅曼(Maiman)首先制成第1台红宝石激光器。其后,各式各样的激光器发展起来了,特别是波长可调的各种可调谐激光器的出现和发展,使光谱测量技术有了突破性发展,实现了极限光谱分辨率、极限的时间分辨率、超高灵敏度检测和波段的开拓:(1)光谱分辨率已提高了几个数量级,克服了仪器宽度的影响,可以测量到物质谱线的真实结构。

采用各种消多普勒技术,已经可达到小于10-11的分辨率,进一步采用辐射冷却原子、俘获粒子的技术,可达到更高的分辨率。(2)探测极限灵敏度也提高了几个数量级,通常光谱测量的灵敏度可达105~106[原子/cm3],现在利用激光共振电离光谱测量技术可以检测到102~103[原子/cm3]。

1977年美国橡树岭实验室的赫斯特(Hurst)用激光共振电离光谱方法已经测量到单个原子。

(3)时间分辨率也提高了几个数量级,常规光谱测量的时间分辨率为10-6s。利用激光非线性光学技术和锁模技术已经研制成可见区及红外区的微微秒和亚微微秒(现在利用锁模技术已可达到6×10-15s激光脉冲)的调谐激光器,开拓了微微秒和亚微微秒光谱测量技术,用来研究瞬态过程和弛豫过程。(4)空间分辨率的提高,利用激光的相干性可以将激光束会聚到微米级的小区域上,获得极高的光谱辐射能密度,产生高温高稠密的等离子体,另一方面,利用可调谐激光探针在生物、医学上可作为一种变革的手段会发生深远的影响,具有重要意义。

2.遥感光谱测量。被动式的遥感光谱测量,如天体光谱测量已在19世纪开始应用,近代由于空间科学技术的发展,已经可以用卫星和航天飞机、飞机等等进行遥感光谱测量,进行资源勘察等。

近代主动式的遥感光谱测量利用可调谐激光器通过测量共振荧光光谱或共振散射光谱获得有关资源的信息和环境污染的信息。

3.波段的开拓。过去由于光源和探测器技术限制了紫外和红外光谱测量,近年来,同步辐射器、真空紫外软X光或可调谐激光技术和远红外可调谐激光光谱技术的出现,迅速地推动了软X对或紫外和红外波段的光谱测量。

4.新型光谱探测元、器件及探测技术。由于新型光电、热电等材料的出现以及集成元、器件技术的进展,发展了适用于各个波段的高探测极限灵敏度的真空光电子元、器件,半导体光电、热电元、器件,热释电器件和电荷耦合器件(CCD),为光谱辐射测量提供了探测元、器件。80年代初出现的硅光电二极管自校准技术有可能成为第3代的光辐射基准,近年来利用单色激光器进行定标,已经可以用作可见区和近红外区的光谱辐射标准。

除此之外,近代光谱微弱信号测量技术有了迅速的发展,已经广泛地应用锁相放大技术、取样积分技术、光子计数技术和光学多通道、分析技术等弱信号电子接收技术,并广泛地应用微机技术。

5.激光波长基准。

1983年10月第17届国际计量大会通过了米定义:米是光在真空中于1/299792458秒时间间隔内所经路径的长度。1983年国际计量委员会推荐了5种激光辐射波长和两种同位素单色光辐射的真空波长值和频率值,用它们中的任一条光谱线均可实现米。

目前利用激光冷却原子束和光学Romsey条纹已能做到3×10-12的相对精度,有可能进一步将激光频率的稳定度提高到10-15以上;另一方面可能发现新的激光谱线以实现米定义。

(中国计量学院张在宣教授、张艺副教授撰)

随便看

 

文网收录3541549条中英文词条,其功能与新华字典、现代汉语词典、牛津高阶英汉词典等各类中英文词典类似,基本涵盖了全部常用中英文字词句的读音、释义及用法,是语言学习和写作的有利工具。

 

Copyright © 2004-2024 Ctoth.com All Rights Reserved
京ICP备2021023879号 更新时间:2026/4/19 13:53:31