网站首页  词典首页

请输入您要查询的字词:

 

字词 脱落酸
类别 中英文字词句释义及详细解析
释义

脱落酸abscisic acid

一种具有倍半萜结构的植物激素。1963年,美国艾迪柯特(F.T.Addi-cott)等从棉铃中提纯的一种物质,它能显著促进棉苗外植体叶柄脱落,称为脱落素Ⅱ; 英国韦尔林(P.F.Wareing) 等也从短日条件下的槭树叶片提纯的一种物质,它能控制落叶树木的休眠,称为休眠素。1965年,脱落素Ⅱ与休眠素被证实是同一种物质,统一命名为脱落酸(ABA)。
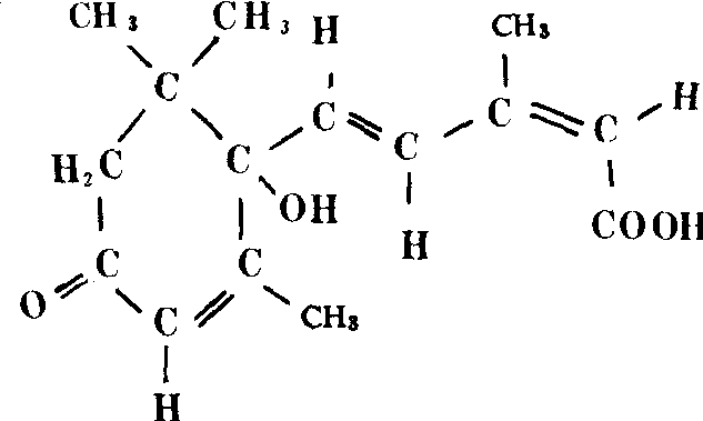
化学结构与生理活性 ABA的分子式是C15H20O4,分子量是 264.31,PKa 4.5,难溶于水或苯,易溶于甲醇、丙酮、乙醇、乙酸乙酯或碱性水溶液。它含有一个不对称的碳原子(C-1′),形成两种光学异构体(见图)。天然ABA呈现右旋旋光性,标志为(+)-ABA或(S)-ABA,熔点160℃。人工合成品为外消旋混合物,由(+)-ABA与(-)-ABA(或以(R)-ABA表示)各半组成,熔点190℃。ABA还存在着几何异构体现象,它的侧链上的两个双键都具有顺( Cis)与反(trans)的构型。天然的ABA几乎都是2-顺-4-反型。番茄叶片原来只含痕量2-反型(反-反型),但于提纯时经光(特别是紫外光)照射,生理活性很低的2-反型经异构化而渐增,直至与2-顺-4-反型成等量的混合物,所以应于漫射光下提取与检测ABA。


ABA的两种光学异构体


在植物体中的分布 脱落酸在植物界广泛分布。根据用旋光色散法对各类植物进行抽样测定的结果,一切维管束植物(蕨类裸子和被子植物)都含有ABA。非维管束植物中,除7种真菌外,在其他真菌、细菌、藻类和苔类中尚未发现有ABA存在。植物体内ABA含量一般为0.03~4.0mg/kg鲜重。水生植物中含量较低,为3~5μg/kg鲜重。禾谷类植物叶片中含量为50~500μg/kg鲜重。许多器官中都有ABA存在,包括叶、芽、果实、种子和块茎。果实中ABA含量最高,鳄梨中果皮ABA含量可达10mg/kg鲜重。植物体内ABA含量常受环境影响而有显著变化。例如水分亏缺可以促进ABA的生物合成,玉米叶片相对含水量从97%降低到80%时,ABA含量提高13倍。短日照和低温的作用也可使ABA含量大幅度增加。植物器官在发育过程中ABA含量亦有很大变化,如棉铃在落铃期和开裂期ABA达到最高水平,含量较其他时期高出数十倍之多。
合成与代谢途径 合成ABA的初始前体是甲瓦龙酸(MVA,3,5-二羟基-3-甲基戊酸),从它生成法尼基焦磷酸(FPP、C15)后,有两条去路:❶C15直接途径: 经脱氢、环化异构生成α-或γ-芷香叉乙醇,再生成α-或γ-芷香叉乙酸(α-或γ-INAA),最后生成ABA。此途径主要存在于真菌。
❷C40间接途径:先合成C40的类胡萝卜素(紫黄质),经光或生物氧化而裂解为C15的黄氧化素(Xanthoxin XAN),再转化为ABA。此途径主要存在于高等植物。ABA代谢亦有两条途径:氧化作用。经6-羟甲基脱落酸(HMABA)转化为红花菜豆酸(PA),再还原成二氢红花菜豆酸(DAP);结合作用。常见的有脱落酰葡糖酯(ABAGE)和脱落酰葡糖苷(ABAGS),二氢红花菜豆酸-4′-0-β-D葡萄糖苷(DPAGS)在某些植物中含量甚高,它也是ABA的代谢产物。
生理效应 ❶抑制与促进生长:外施ABA浓度大于或等于10-7mol时会抑制茎、下胚轴、根、胚芽鞘或叶片等器官的生长。但小于或等于10-7mol时可促进离体黄瓜子叶生根与下胚轴的伸长,加速浮萍的繁殖,刺激单性结实种子的发育。2ppmABA还可拮抗高浓度IAA(50~100ppm)对燕麦中胚轴的毒害作用。
❷维持芽与种子的休眠: 马铃薯块茎与落叶树的潜伏芽以及红松、小麦等种胚的休眠与体内GA/ABA的平衡有关。
❸促进果实与叶的脱落: 棉花受精后5~10日,幼龄的ABA含量剧增,此时正是脱落敏感期,棉铃开裂时,ABA含量再次上升。表明棉铃的脱落和衰老均与ABA有关。
❹促进气孔关闭: ABA可使保卫细胞的K+外渗增加而失去膨压,导致气孔关闭。将离体叶片表皮漂浮于各种浓度的ABA液面上,在一定范围内气孔的开度与ABA浓度成反比例,这已成为检测ABA的一种生物试法。ABA可使气孔快速关闭,对植物又无毒害,是一种极好的抗蒸腾剂。
❺影响开花与性分化: 于长日条件下,ABA可使草莓与黑莓顶芽休眠并促进开花。GA能使大麻的雌株形成雄花,此效应可被ABA逆转,但是ABA却不能使雄株形成雌花。

脱落酸abscisic acid,ABA

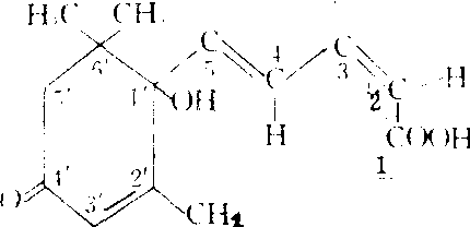
具有倍半萜结构,抑制生长,促进衰老和休眠的一类植物激素。1967年正式定名。其结构式如下。化学名称为3-甲基-5(1′-羟基-4′-氧-2′,6′,6′-三甲基-2′-环己烯-1′-基)-顺、反型2,4-戊二烯酸。它含有一个不对称的碳原子(C1′位置),故可有2个光学异构体。天然的脱落酸为右旋性的,用(+)—ABA或(S)—ABA表示。植物各器官(叶、芽、果实、种子、块茎等)均有存在。随器官发育,ABA含量有很大变化。缺水、短日照、低温等环境条件可促进ABA大幅度增加。ABA合成的前体物和赤霉素一样都是甲瓦龙酸。ABA的主要生理效应是抑制生长,维持芽与种子的休眠,促进气孔关闭,促进果实与叶片的衰老和脱落等。

脱落酸

脱落酸tuoluosuan

一种植物激素。简称ABA。曾称为“脱落素Ⅱ”,“休眠素”,后证实两者为同一物质,统一命名为脱落酸。脱落酸是以异戊间二烯为基本结构单位的倍半萜类化合物。纯品为白色结晶,能溶于乙醇、丙酮和碱性溶液(如碳酸氢钠)等。脱落酸最初是从棉铃和槭树叶中分离出的,现已证实它在植物界普遍存在,特别在成熟和衰老的组织中,但幼嫩器官和组织中也有。脱落酸的生理作用是促进树木芽的休眠和抑制其萌发。另一个明显生理作用可引起气孔迅速关闭。植物受干旱时,叶内脱落酸含量大量增加,例如菜豆叶片萎蔫时,叶中脱落酸含量在10分钟内可增加1.5倍。脱落酸增加时,气孔关闭,水分的蒸腾减少。灌水后,脱落酸含量下降,气孔又张开。脱落酸调节气孔的开闭反应是快速和可逆的,因此脱落酸有调节蒸腾的作用。此外,脱落酸还有抑制营养器官的生长,促进叶片等器官的衰老和棉花幼果的脱落等作用。


图547 脱落酸结构式

☚ 细胞分裂素   乙烯 ☛

脱落酸

植物激素之一。分子式为C15H20O4。能抑制细胞分裂和伸长,促进器官的衰老和脱落,诱导芽和种子休眠,促进气孔关闭等。

随便看

 

文网收录3541549条中英文词条,其功能与新华字典、现代汉语词典、牛津高阶英汉词典等各类中英文词典类似,基本涵盖了全部常用中英文字词句的读音、释义及用法,是语言学习和写作的有利工具。

 

Copyright © 2004-2024 Ctoth.com All Rights Reserved
京ICP备2021023879号 更新时间:2025/10/18 19:44:09