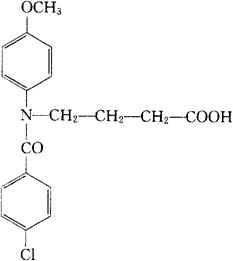
克拉布丁
C18H18ClNO4=347.80 CAS-30544-61-7 4-[对-氯-N-(对-甲氧苯基)苯甲酰氨基]丁酸。 4-[ p-Chloro-N-(p-methoxyphenyl)benzamido]butyric acid. 4-[(氯苯甲酰)(对-甲氧苯基)氨基]丁酸。 4-[(Chlorobenzoyl)(4-metho xyphenyl)amino]butanoic acid. 抗胆碱药,利胆药。 二芳丁酸。 Clanobutine,Bykahepar. INN,USAN,MI.  |