克林霉素
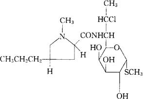
C18H33ClN2O5S=424.98 CAS-18323-44-9 (2S-反式)甲基7-氯-6,7,8-三脱氧-6-[[(1-甲基-4-丙基-2吡咯烷基)羰基]氨基]-1-硫代-L-苏α-D-辛吡喃半乳糖甙。 L-threo-α-D-Galacto-octopyranoside, methyl 7-chloro-6,7,8-trideoxy-6-[[(1-methyl-4-propyl-2-pyrrolidinyl)carbonyl]-amino]1-thio-,(2S-trans)-. 甲基7-氯-6,7,8-三脱氧-6-(1-甲基-反式-4-丙基-2-吡咯烷甲酰胺基)-1-硫代-L-苏-α-D-辛吡喃甙半乳糖甙。 Methyl 7-chloro-6,7,8-trideoxy-6-(1-methyl-trans4-propyl-2-pyrrolidinecarboxamide)-1-thio-L-threoα-D-galacto-octopyranoside. 7(S)-氯-7-脱氧林肯霉素。 7-(S)-Chloro-7-deoxylincomycin. 抗生素类药。 氯洁霉素,氯林霉素,氯林可霉素。 Clindamycin,U-21,251,Clinimycin,Cleocin,Dalacin C. INN,BAN,USAN.  |