网站首页  词典首页

请输入您要查询的字词:

 

字词 关税保护率
类别 中英文字词句释义及详细解析
释义 关税保护率

关税具有保护国内市场和生产的重要职能。

一般说,关税水平的高低,可以大体反映一国的关税保护程度。但两者不能简单地划等号。这是因为影响保护程度的还有其他一些因素。目前,国际上把关税保护程度分为名义保护率和有效保护率两种。

1.名义保护率。按照世界银行所下的定义,名义保护关税率是指“一种商品的名义保护率由于实行保护而引起的国内市场价格超过国际市场价格的部分与国际市场价格的百分比”。

用公式表示:

上述公式是一国制定保护关税税率的根据。这是因为关税的保护作用就是通过征税加大进口商品的到岸成本,提高其价格,以便抵消其价格优势方面的竞争力。

一种商品保护关税率的制定,应是这种商品国内与国外价格的差额与国际市场价格的百分比,通过对进口价格(即国际市场价格)按税率征收关税后,消除商品的进口价格与国内价格的差额。因此,通常是把一国的法定税率看做是名义保护关税率。但名义保护关税率不能准确地反映对国内受保护商品的有效保护程度。

2.有效保护率。

有效保护是指整个关税制度(和其他保护措施)对某类产品在生产过程中给与净增值的影响。具体地说就是由于整个关税制度而引起的国内增值的提高部分与自由贸易条件下增值部分相比的百分比。有效保护主要是关税制度(和其他保护措施)对加工工业的保护。

有效保护与名义保护的主要区别在于,名义保护只考虑关税(和其他保护措施)对某种成品的价格影响,而不考虑对其投入材料的保护;而有效保护不但注意了关税对成品的价格影响,也注意了投入品(原材料或中间产品)由于征收关税而增加的价格。

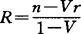
因此,有效保护率计算的是某项加工工业中受全部关税制度影响而产生的增值比,也就是由于征收关税所引起的国内加工增加值同国外加工增加值的差额与国外加工增加值之比。用公式表示如下:

设:P为制成品国外价格(无税价格)

n为制成品名义保护关税率

r为原材料名义保护关税率

V为原材料费用占制成品价格比重

用各有关因素将上式展开为:

推导简化为:

当n>r时,R>n。制成品进口税率高于原材料进口税率时,有效保护关税率大于名义保护关税率;当n=r时,R=n。制成品进口税率等于原材料进口税率时,有效保护关税率与名义保护关税率相同;当n<r时,R<n。

制成品进口税率低于原材料进口税率时,有效保护关税率低于名义保护关税率;当n<Vr时,R<0。

制成品进口税率低于原材料进口税率与原材料费用在制成品价格中比重之乘积时,有效保护关税率为负数,无有效保护作用。

随便看

 

文网收录3541549条中英文词条,其功能与新华字典、现代汉语词典、牛津高阶英汉词典等各类中英文词典类似,基本涵盖了全部常用中英文字词句的读音、释义及用法,是语言学习和写作的有利工具。

 

Copyright © 2004-2024 Ctoth.com All Rights Reserved
京ICP备2021023879号 更新时间:2025/10/19 13:48:33