关税的实际保护率
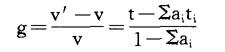
衡量关税对一行业带来的实际保护程度的一种指标。 它被定义为关税使国内被保护行业每单位产出的附加价值提高的百分率,公式为:  其中g为实际保护率,v为自由贸易下的国内附加价值,v′表示当对进口的最终产品和/或进口中间产品征税后的国内附加价值。t为对最终产品的进口名义关税率,ai是生产单位产品所需进口的第i种进口投入品的成本与单位产品价格之比,ti为对这第i种进口投入品所征收的名义关税率。 关税率是关税的名义保护率,而当被保护行业的产品生产使用进口投入时,对最终产品实行关税保护客观上也“顺带”地保护了这些进口投入的国外供应商。所以当存在进口投入时,关税的名义保护率和实际保护率就发生了分歧。 关税对某一国内产品的实际或有效保护应是对剔除掉进口中间产品价值后的国内附加价值的保护。我们可以证明,当ti小于、等于或大于t时,关税的实际保护率大于、等于或小于名义保护率,这正是关税升级的理论基础。 |