网站首页  词典首页

请输入您要查询的字词:

 

字词 内标对比法
类别 中英文字词句释义及详细解析
释义 内标对比法

内标对比法(Internal standard Contrast method)又称已知浓度样品对照法,是内标法的一种应用。

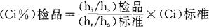
在气相色谱或高效液相色谱,校正因子经常不知,则可用此法。先配制已知浓度的标准样品,加入一定量内标物,再将内标物按相同量加入同体积被测溶液中,分别进样,由下式计算样品含量。

对于正常峰,则可用峰高h代替峰面积A计算含量。

配制标准样品相当于测定相对校正因子。

例如:九分散中盐酸麻黄碱、伪麻黄碱和士的宁的高效液相色谱测定,用盐酸普鲁卡因为内标物。

随便看

 

文网收录3541549条中英文词条,其功能与新华字典、现代汉语词典、牛津高阶英汉词典等各类中英文词典类似,基本涵盖了全部常用中英文字词句的读音、释义及用法,是语言学习和写作的有利工具。

 

Copyright © 2004-2024 Ctoth.com All Rights Reserved
京ICP备2021023879号 更新时间:2025/10/18 14:27:43