内部收益率评估法
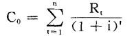
利用内部收益率对投资方案进行评估的方法。 内部收益率(简称IRR)就是能使投资方案的未来各期收入流量的现值等于该投资的原始成本(即投资支出)的利息率或贴现率。其计算公式为:  式中:C0为投资方案的原始成本,Rt为第t期净现金流量,t为期数,i就是要求的内部收益率。 计算IRR,一般可用试算法,逐次逼近地去求,也可用计算机计算。   前者小于后者,则应放弃。 当企业面对一系列具有不同IRR的投资方案(或项目)时,那么它所采纳的最后一个方案的IRR刚好超过资金成本。可用图来说明。图中横轴表示投资金额,纵轴表示投资收益率和资金成本率,A、B、C、D、E、F等长方块表示各投资方案,其高度为方案的预期收益率,连成的粗实线IRR为投资机会曲线,用它来表明各方案的收益情况,MCC曲线表示资金的边际成本(随投资的增加,筹集资金所需支出的成本也要增加),企业的投资应达到MCC曲线和IRR曲线的交点为止,最后采用的方案的收益率与资本的边际成本相等。这就是说,用内部收益率对上述方案进行评价,A、B、C、D方案应采纳,E、F方案则应放弃。 |