| 释义 |
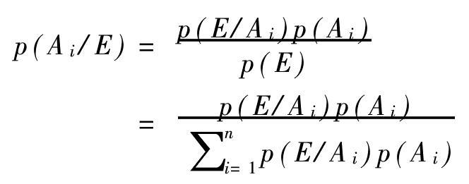
贝叶斯法则Bayesian Law亦称“贝叶斯定理”,或称“贝叶斯规则”。在概率统计应用中,对有关概率分布的主观判断进行修正的标准方法。当分析样本大到接近总体数时,样本中事件发生的概率将接近于总体中事件发生的概率。法则广泛应用于经济学领域,用来评价经济学家假设模型、估计经济参数值、预测尚未观察到的变量值。 贝叶斯法则一种根据新信息修正先验概率,从而得到后验概率的基本方法。这一方法是以英格兰概率统计学家贝叶斯(Bayes,Thomas,1702—1761)的名字命名的。当面临不确定性时,人们对某种事情发生的可能性先有一个先验判断,然后再根据新的信息修正这个判断。在概率论中,修正之前的判断称为“先验概率”,它一般是主观概率判断;根据新信息修正以后的判断称为“后验概率”。假设某种决策有n个可能的结果: A1, A2, …, Ai, …, An,这些结果是独立分布的。假设决策人认为结果Ai发生的先验概率为p(Ai)≥0, ∑ni=1p(Ai)=1。假设事件E能且只能与结果A1, A2, …, Ai, …, An之一同时发生。设在结果Ai发生的条件下,事件E也发生的条件概率为p(E/Ai)≥0, ∑ni=1p(E/Ai)=1,那么事件E发生的概率为: p(E)=∑ni=1p(E/Ai)p(Ai) 在概率论中,这称为“全概率公式”。用p(Ai/E)表示后验概率,即事件E发生的情况下结果Ai出现的概率。结果Ai和事件E同时出现的联合概率p(Ai,E)满足:p(Ai,E)=p(Ai/E)p(E) =p(E/Ai)p(Ai) 调整该式可得: 上述方法被称为“贝叶斯法则”。需要指出的是,贝叶斯法则并不是一个技术性法则,而是人们修正概率判断的唯一合理方法。 |