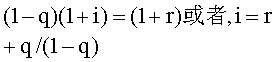
货币贷款者为获取利息而借出货币资金的人或机构。在货币借贷市场上,存在着性质不同的两类贷款活动: 有组织的商业银行借贷活动; 无组织的货币贷款活动。商业银行在 “部分准备制” 的基础上从事活动,它们持有的现金准备只是它们对公众的总债务的一部分。银行通过 “货币乘数”来创造信用货币。然而,在无组织的市场上,对私人货币贷款者来说,并不存在一个此类信用创造机制。信誉卓著的私人货币贷款者可能以个人承诺付款的票据或“欠款凭证” (IOUS) 的形式来创造私人债务契约。同商业银行的货币乘数一样,这种私人债务契约甚至也能数倍于现金准备。但其发行的范围受到较严的限制。因为: ❶由于无法定的 “现金准备率” 或规定的 “最后贷款者” 作后盾,在对他们的债务契约发生突然 “挤兑” 时,私人贷款者就只能完全依靠他们个人的资信。 ❷从空间上看,个人的资信一般限于相对小的范围内,这又势必将无组织的信贷市场分割起来。 ❸许多私人货币贷款者,尤其是欠发达国家中的较贫穷的乡村地区中的货币贷款者,并不能像真正的金融中介那样从事活动。相反,他们主要是货币的出借者,而不是存款的吸收者,其收益率就必须比他们从在有组织的信用市场的银行那里存款所得的要高。 某些早期资料的研究表明: 在许多欠发达国家里,私人货币贷款的收益率确实要比银行的存款利率或贷款利率高出许多。尽管一些经济学家用贷款者风险补偿率来解释这一现象,贷款者风险补偿率是被设想用来弥补出借本金的倒账部分的损失。根据这一观点,一个典型的货币贷款者预计他出资的总贷款中有某一比率 (q) 将会倒账,并对这笔预计会偿还 (1—q) 的贷款索要充分高的利率 (i) 用来弥补其资本损失。在这种情况下,他的总收益率 (r)或多或少与其在有组织的信贷市场的银行那里存款取得的利率 (或贷款利率) 相等。即: 
显然,既知1>q>0,私人货币贷款者的贷款利率i将高于在有组织市场上的贷款利率r,因为它还要包括因存在倒账风险而须支付给贷款者的风险补偿。 这一理论的起点,是有组织的信贷市场上的收益率同无组织的信贷市场上的收益率将“竞争性地”达到相等 (例如上述计算中的 “r”) 的假定。进而认为,即便当私人货币贷款者并未像金融中介那样从事经营时,他们实际上也或多或少只获得如典型的金融中介在有组织的市场上所获得的收益率。潜在的假定是,有组织的信贷市场同无组织的信贷市场是充分一体化的。另一种类解释说,私人贷款的利率所以较高,是因为管理此类贷款的 “管理成本” 较高或其交易成本较高。 一般地说,借款人的资信取决于他能为给他的贷款所提供的担保物。很穷的农民能够提供的担保物,典型的如已抵押出去的土地、正生长着的作物,通常并无明确的市场。这些对于通常的机构贷款者如银行来说,是不能作为担保物来接受的。然而,一个当地村庄的货币贷款者却愿意把这些当作担保物来接受,因为,他或者可以自己使用它们,或者在安排贷款时,他可大大低估担保物的价值。在后一情况下,当价值低估的资产因违约发生而转移给货币贷款者时,货币贷款者的确可由此而取得 “资本利得”。这就显示出了有组织的市场同无组织的私人信贷市场在经营方式上的一种根本差异。在有组织的市场上,一旦发生违约,贷款者充分低估了担保物的价值时,他就可以在相当程度上躲避开这一风险。通过这种价值低估的担保物的转移,违约对于贷款者来说实际上意味着资本收益,而不资本损失。而且,由于借款者处于一旦违约便可能蒙受资本损失的威胁之下,这种贷款安排实际上具有借款者风险而不是贷款者风险的特征。更有甚者,在此类贷款中,贷款者为了取得资本利得,可能有通过索要异常高的利率来诱发违约的倾向。当违约由高利率引致,且能为贷款者带来资本利得时,这种方法在某种程度上可看为高利贷。确实,大多数“典当铺” 在经营中遵循的也是相同的原则。 在乡村中,孤弱无靠的借款者们所以时常告贷于典当铺或私人货币贷款者,是因为他们在有组织的信贷市场上被看作为无足够的资信,因而得不到贷款。很明显,借款者越是孤弱无靠,他的贷款需要就越强烈,如维持生存的消费贷款。借款者对贷款的需求函数越无弹性,他就越易为上述高利贷所左右。事实是,在贷款需求完全无弹性的极端情况下,如果利率被贷款者提得太高,借款者保护自己的唯一手段就只能是蓄意造成违约。在此情况下,他不再试图去支付高的利息,而是承担其作为担保的资产的损失。然而,当他的贷款需求函数较有弹性时——例如,如果贷款利率太高而担保物价格过低时,他就会决定少借一些。此时,贷款者就会决定索要降低的利率以诱使借款者多借货币,但同时,他也会低估担保物的价值,寄望于借款者还不了更多的贷款,从而通过资产转移能够得到资本利得。货币贷款者 货币贷款者money lenders为获取利息而借出货币资金的人或机构。在货币借贷市场上,存在着性质不同的两类贷款活动:有组织的商业银行借贷活动;无组织的货币贷款活动。商业银行在“部分准备制”的基础上从事活动,它们持有的现金准备只是它们对公众的总债务的一部分。银行通过“货币乘数”来创造信用货币。然而,在无组织的市场上,对私人货币贷款者来说,并不存在一个此类信用创造机制。信誉卓著的私人货币贷款者可能以个人承诺付款的票据或“欠款凭证”(IOUS)的形式来创造私人债务契约。同商业银行的货币乘数一样,这种私人债务契约甚至也能数倍于现金准备。但其发行的范围受到较严的限制。因为: ❶由于无法定的“现金准备率”或规定的“最后贷款者”作后盾,在对他们的债务契约发生突然“挤兑”时,私人贷款者就只能完全依靠他们个人的资信。 ❷从空间上看,个人的资信一般限于相对小的范围内,这又势必将无组织的信贷市场分割起来。 ❸许多私人货币贷款者,尤其是欠发达国家中的较贫穷的乡村地区中的货币贷款者,并不能像真正的金融中介那样从事活动。相反,他们主要是货币的出借者,而不是存款的吸收者,其收益率就必须比他们从在有组织的信用市场的银行那里存款所得的要高。 某些早期资料的研究表明:在许多欠发达国家里,私人货币贷款的收益率确实要比银行的存款利率或贷款利率高出许多。尽管一些经济学家用贷款者风险补偿率来解释这一现象,贷款者风险补偿率是被设想用来弥补出借本金的倒账部分的损失。根据这一观点,一个典型的货币贷款者预计他出资的总贷款中有某一比率(q)将会倒账,并对这笔预计会偿还(1-q)的贷款索要充分高的利率(i)用来弥补其资本损失。在这种情况下,他的总收益率(r)或多或少与其在有组织的信贷市场的银行那里存款取得的利率(或贷款利率)相等。即: (1-q)(1+i)=(1+r)或者,i=r+q/(1-q) 显然,既知1>q>0,私人货币贷款者的贷款利率i将高于在有组织市场上的贷款利率r,因为它还要包括因存在倒账风险而须支付给贷款者的风险补偿。 这一理论的起点,是有组织的信贷市场上的收益率同无组织的信贷市场上的收益率将“竞争性地”达到相等(例如上述计算中的“r”)的假定。进而认为,即便当私人货币贷款者并未像金融中介那样从事经营时,他们实际上也或多或少只获得如典型的金融中介在有组织的市场上所获得的收益率。潜在的假定是,有组织的信贷市场同无组织的信贷市场是充分一体化的。另一种类解释说,私人贷款的利率所以较高,是因为管理此类贷款的“管理成本”较高或其交易成本较高。 一般地说,借款人的资信取决于他能为给他的贷款所提供的担保物。很穷的农民能够提供的担保物,典型的如已抵押出去的土地、正生长着的作物,通常并无明确的市场。这些对于通常的机构贷款者如银行来说,是不能作为担保物来接受的。然而,一个当地村庄的货币贷款者却愿意把这些当作担保物来接受,因为,他或者可以自己使用它们,或者在安排贷款时,他可大大低估担保物的价值。在后一情况下,当价值低估的资产因违约发生而转移给货币贷款者时,货币贷款者的确可由此而取得“资本利得”。这就显示出了有组织的市场同无组织的私人信贷市场在经营方式上的一种根本差异。在有组织的市场上,一旦发生违约,贷款者充分低估了担保物的价值时,他就可以在相当程度上躲避开这一风险。通过这种价值低估的担保物的转移,违约对于贷款者来说实际上意味着资本收益,而不资本损失。而且,由于借款者处于一旦违约便可能蒙受资本损失的威胁之下,这种贷款安排实际上具有借款者风险而不是贷款者风险的特征。更有甚者,在此类贷款中,贷款者为了取得资本利得,可能有通过索要异常高的利率来诱发违约的倾向。当违约由高利率引致,且能为贷款者带来资本利得时,这种方法在某种程度上可看为高利贷。确实,大多数“典当铺”在经营中遵循的也是相同的原则。 在乡村中,孤弱无靠的借款者们所以时常告贷于典当铺或私人货币贷款者,是因为他们在有组织的信贷市场上被看作为无足够的资信,因而得不到贷款。很明显,借款者越是孤弱无靠,他的贷款需要就越强烈,如维持生存的消费贷款。借款者对贷款的需求函数越无弹性,他就越易为上述高利贷所左右。事实是,在贷款需求完全无弹性的极端情况下,如果利率被贷款者提得太高,借款者保护自己的唯一手段就只能是蓄意造成违约。在此情况下,他不再试图去支付高的利息,而是承担其作为担保的资产的损失。然而,当他的贷款需求函数较有弹性时——例如,如果贷款利率太高而担保物价格过低时,他就会决定少借一些。此时,贷款者就会决定索要降低的利率以诱使借款者多借货币,但同时,他也会低估担保物的价值,寄望于借款者还不了更多的贷款,从而通过资产转移能够得到资本利得。 ☚ 金融中介论 中性货币 ☛ 00014585 |