网站首页  词典首页

请输入您要查询的字词:

 

字词 货币需求
类别 中英文字词句释义及详细解析
释义

货币需求Money Demand

社会各部门在既定的收入或财富范围内能够而且愿意以货币形式持有的数量。决定货币需求量大小的一般因素有:
❶利率水平和融资条件;
❷市场规模及交易方式;
❸资产收益率和投资环境;
❹通货膨胀预期和物价水平;
❺收入水平和理财技术;
❻个人取得收入的形式和时间间隔;
❼金融市场的效率和交易成本;
❽其他经济和社会制度因素。根据选取的决定货币需求因素的差异,还可以分为名义货币需求和实际货币需求。前者表示在一定的价格、收入和利率水平下人们希望持有的货币量;后者指考虑到所有的决定因素,人们希望持有的货币量。

货币需求

一定时期内,社会各部门对其既有的收入或财富能够而且愿意以货币形式持有的数量。它一般分为三种:交易性货币需求、预防性货币需求和投机性货币需求。交易性货币需求反映货币交易职能,而预防性和投机性货币需求则把货币看成一种资产。决定货币需求量大小的主要因素有利率水平、市场规模及交易方式、资产收益率和投资环境、通货膨胀预期和物价水平、收入水平、个人取得收入的形式和时间间隔、金融市场的效率和交易成本,以及其他经济和社会制度因素。根据选取的决定货币需求因素的差异,还可以分为名义货币需求和实际货币需求。前者表示在一定的价格、收入和利率水平下,人们希望持有的货币量;后者指考虑到所有的决定因素,人们希望持有的货币量。在理解货币需求时,需要把握以下几点:(1) 货币需求是一个存量概念。它主要考察在特定的时点和空间范围内,社会各部门对其拥有的全部资产愿意以货币形式持有的数量和份额。尽管存量的多少与流量的大小及速度有关,但货币需求理论研究的主要是存量问题。(2) 货币需求是有条件限制的,是一种能力与愿望的统一。它以收入和财富的存在为前提,是在具备获得和持有货币的能力范围之内愿意持有的货币量。因此,货币需求不是一种纯主观的或心理上的占有欲望,不是人们无条件地“想要”多少货币这一问题。人们对货币的欲望可以是无限的,但对货币的需求却是有限的。只有同时满足以下两个基本条件才能形成货币需求:一是必须有能力获得或持有货币,二是必须愿意以货币形式保有其资产。有能力而不愿意,不会形成对货币的需求;愿意而无能力,只是一种不现实的幻想。(3) 现实中的货币需求不仅仅是指对现金的需求,而且包括了对存款货币的需求。(4) 人们对货币的需求既包括了执行流通手段和支付手段职能的货币需求,也包括了执行价值储藏手段职能的货币需求。前者是对货币作为交换媒介的需求,后者是对货币作为资产保存形式的需求,二者的差别只在于持有货币的动机不同或货币发挥的职能作用不同,但都在货币需求的范围之内。

货币需求

对执行流通手段,支付手段和价值贮藏职能的货币的需求。一般来说,人们需要货币是出于用它购买其他商品和劳务。自货币主义出现以来,货币需求的确切性质已成为现代宏观经济学的中心问题。货币需求理论分为凯恩斯主义的货币需求理论和现代货币数量论。凯恩斯认为,人们持有货币是基于三大动机。
❶交易动机,购买日常所需的商品和劳务之用;
❷预防动机,应付没有预料到的开支;
❸投机动机,作为贮藏价值的手段。而为投机而保持货币在手边,是因为可用来保存其财富的另一种金融资产 (债券) 的收益具有不确定性,这种不确定性使得人们持有一部分货币以防止失去有利的购买有价证券的机会。现代货币主义者认为,人们为交易活动融通资金的货币需求被看作是与少数关键性变量相关的稳定的函数。货币的需求不仅是利息率和收入的函数,而且是与一系列实物资产和金融资产有关。货币被视为所有其他资产的替代品,从而货币的需求是所有这些资产的收益的函数。而人们持有货币的原则是确保他买进的所有各项实物资产和金融资产的边际收益都相同。所以,在实际生活中,实物资产和金融资产的收益趋于相等,这样利息率被看作这些资产收益的适当的代表。这两种不同的货币需求理论直接导致出两个不同的政策处方: 前者主张调节利率以调节货币需求,达到提高收入水平的目标; 后者则主张单一货币规则,即货币供应量增长率应保持与产量增长率大致相等的水平上。

货币需求

货币需求money demand

人们对执行货币职能(流通手段、支付手段和价值贮藏手段)的货币需要或要求。货币的基本职能是交换的媒介,经济和社会的发展离不开对货币的需求。它一般分为三种需求:交易性货币需求、预防性货币需求和投机性货币需求。交易性货币需求强调货币的交易职能,而预防性和投机性货币需求则把它看成一种资产。
决定货币需求量大小的一般因素有:
❶利率水平和融资条件。
❷市场规模及交易方式。
❸资产收益率和投资环境。
❹通货膨胀预期和物价水平。
❺收入水平和理财技术。
❻个人取得收入的形式和时间间隔。
❼金融市场的效率和交易成本。
❽其他经济和社会制度因素。
根据选取的决定货币需求因素的差异,还可以分为名义货币需求和实际货币需求。前者表示在一定的价格、收入和利率水平下人们希望持有的货币量;后者指考虑到所有的决定因素,人们希望持有的货币量。

☚ 货币供应量   名义货币需求 ☛
货币需求

货币需求

个人、企业和单位对执行流通手段(或支付手段)和价值贮藏手段的货币的需求。个人、企业和单位持有的货币是执行流通手段(或支付手段)和价值贮藏手段的货币。如个人以货币购买商品或支付劳务费用,购买股票或债券,偿还债务,以货币形式保有财富等;企业以货币支付生产费用,支付股票、债券的息金,以货币形式持有资本。
现金交易数量说只强调货币的流通手段和支付手段的职能,认为人们对货币的需求是手段而不是目的,因而货币需求由交易量的大小和货币的流通速度决定。现金余额数量说的观点与此不同。它认为货币是一种资产,持有货币是因为货币能满足由于谨慎和贮藏财富的考虑而产生的需要,因为其他形式的财富在价值上和收益上不是完全可靠的。同时人们收入和支出的时间也往往难于预料。因而需求的货币不仅是执行流通手段和支付手段的货币,也是执行财富贮藏手段的货币。
若货币需求被视为由微观主体的行为决定,那么,对货币需求的探讨则包括:微观主体持有货币的动机和货币需求量的决定两个方面。
人们的货币收入常是按月、按季甚至是按年获得的。在收入周期内,一部分货币须用来支付一些经常性的支出,如饮食支出、娱乐支出和交通费用支出等;一部分货币用来应付意外事件,如疾病、工伤事故和其他不确定的损害;还有一部分货币被用来在有利时机下购买有价证券或作为无风险的资产保有存在手中。因此,持有货币的动机可分为交易性动机、预防性动机和投机性动机。与此相对应,货币需求也分为交易性、预防性和投机性货币需求。对货币需求动机的研究源于剑桥学派的马歇尔、皮古等,后来为凯恩斯所发展。凯恩斯派不仅采用这一划分,而且也在此结构下探讨决定货币需求量的因素。
货币主义(以弗里德曼为代表)者对待货币需求,采取了与凯恩斯派不同的做法。他们强调剑桥学派货币需求理论的另一面,即直接将货币作为一种资产,而不是去挖掘货币需求的动机。货币主义者认为影响货币需求的因素首先是财富总额,财富总额是货币需求的数量界限。但是财富中不仅包括实物财富,如不动产和耐用消费品等,而且包括人力资本,即个人未来获得收入的能力,因为人们必须经常通过教育、职业培训等方式进行智力投资,以便将来有更大的获得收入的能力。同时,因为货币只是资产的一种,因而其他资产的收益率:实物资产的收益率、债券的收益率、股权的收益率等会影响货币的持有量。另外,一些社会、经济及技术的变动也会影响货币需求。只是货币主义者在分析货币需求时,出于实证需要常将这些因素加以简化,如以收入代替财富,将收入视为永久性收入,假定人力资本是实物资本的一个比例等。
货币需求的利率弹性是凯恩斯派和弗里德曼为代表的货币主义之间争论的焦点之一。凯恩斯派认为货币需求的利率弹性很大,凯恩斯本人甚至认为货币需求有陷入“流动性陷阱”的可能性;货币主义则坚持说货币需求的利率弹性并没象凯恩斯派所说的那么大,并诉诸实证验证。争论的结果是一种折衷,但也没有完全消弥两者的差别。
凯恩斯派最初沿袭凯恩斯把货币限在现金范围内的方法。货币主义者和其他一些经济学家如约翰、G·格利、爱德华、S·肖等则把某些存款(活期存款)包括在货币存量里面。从现实来看,在19世纪70年代以前,仅考虑M1的数量便能对货币的影响有较好的解释和预测能力,但自70年代以来,情况有了变化,不仅货币扩充到M2,而且扩充到M3甚至更多层次,因而货币需求的货币内容也在变动。

☚ 货币政策的外部时滞   交易性货币需求 ☛
货币需求

货币需求Demand for Money

凯恩斯关于货币职能的理论。凯成斯认为货币有三种职能,即交易需求、预防需求和投机需求。货币的交易需求即为了应付生产或生活日常开支所必需的货币量,如果人们收入增加了,支出也会相应增加;货币的交易需求是货币收入的正函数。货币的预防需求是人们出于种种原因,手中总是要保留一定数量的现金以备急用,人们的活动次数增加和价格水平上升,货币的预防需求也会随之增加。货币的投机需求不仅是指投机家出于投机目的而需要保有的货币量,而且是指人们把钱拿在手里期望将来能得到较大收益的货币需求。这种需求与货币利率有十分密切的关系,利率高,人们手中持有货币的代价高,因而货币投机需求少;利率低,人们手中愿意多留货币,于是除了货币的交易需求、预防需求之外,都成了货币的投机需求。

☚ 自动稳定器   货币创造 ☛
货币需求

货币需求Money Demand

很难想象如果没有货币现代经济如何运行。普遍认为货币具有四个职能: 交易媒介 (medium of exchange)、价值贮藏 (store of value)、计价单位 (unit of account)、支付手段 (standard of deferred payment)。之所以对货币产生需求,就是因为货币具有这些职能。货币需求的理论是货币理论的重要组成部分,是选择货币政策的理论出发点。
1.古典货币数量论
1911年美国耶鲁大学教授I·费雪 (I.Fisher) 出版的 《货币的购买力》 一书中提出了一个交易方程式,又称为费雪方程式,在货币需求理论发展过程中是一个重要的环节,这一方程式的形式为:
MV=PT
其中M为一定时期内流通货币的平均数量,V为货币流通速度,T为交易总量,P为价格水平 (各类商品价格的加权平均数)。
费雪方程式可以用来说明价格水平的决定,从该式可以看出,P的值取决于M、V、T三个变量的相互作用。古典学派认为,经济的经常状态是充分就业,交易总量可以认为就是国民收入总量,假设不变。决定货币流通速度的因素变化很慢,因此可以认为货币流通速度是基本不变的。那么,费雪方程式说明了价格水平是由货币量决定的,与货币量成同比例变动。这种货币数量论正是要说明物价水平与货币量之间存在着这种关系的。
许多经济学家认为,不考虑微观经济主体动机对货币需求的影响是费雪方程式的一个缺陷。剑桥学派的马歇尔和庇古重视微观经济主体动机对货币需求的影响,提出了另一个古典货币数量论理论,即剑桥方程式:

其中Md/P为货币需求,P为价格水平,Y代表总收入,K为以货币形式保有的财富占名义总收入的比例或者说货币量与国民生产总值的比率,称为马歇尔比率,是一个常数,马歇尔和庇古对剑桥方程式的解释为: 经济体系中的个人对货币的需求,实质上是选择什么样的方式保持自己的资产的问题,决定人们持有的货币量的,不仅有个人财富水平以及持有货币拥有的便利这些因素,它还受利率水平影响,因为手持货币会有利息损失。微观经济主体实际上是在两相比较中决定货币需求的。在其他条件不变的情况下,名义货币需求与名义收入水平之间,进而讲实际货币需求与实际收入水平之间,保持着一个较稳定的比例关系。对个人如此,对整个经济体系也如此。如果认为K=1/V,很容易认为费雪方程式和剑桥方程式是一样的。实际上两者是存在着较显著的差异的。首先,两者对货币需求分析的侧重点是不同的,费雪方程式强调的是货币的交易手段职能,而剑桥方程式则重视货币作为一种资产的职能。因而前者用货币支出数量和流通速度解释货币需求,后者则从以货币形式保有的资产存量占收入的比例角度来考虑货币需求。其次,两个方程式所强调的货币需求决定因素有所不同,剑桥方程式考虑的因素多于费雪方程式,特别是它隐含了利率这一不可忽视的因素。
2.凯恩斯的货币需求理论
凯恩斯对货币需求理论的突出贡献在于他对货币需求动机的分析。他认为,人们的货币需求行为是由三个动机决定的,即:
(1) 交易动机 (the transactions motive),由于经常的交易支付而产生的需求货币的动机。
(2) 预防动机 (the preautionary motive),为了预防不可预见的意外支付而产生的需求货币的动机。
(3) 投机动机 (the speculative motive),这种动机来源于个人可以持有的其他非货币资产的货币价值的不确定性。这种不确定性可能给持有人带来收益,也可能带来损失。投机动机分析是凯恩斯货币需求理论中最具特色的部分。
凯恩斯认为,由交易动机和预防动机产生的货币需求是由收入水平决定的,而投机动机引起的货币需求则由利率水平决定,因此,凯恩斯的货币需求公式为:
M=L1 (Y) +L2(r)
L1 (Y) 为交易动机和预防动机决定的货币需求,是收入的函数,且与收入成正相关关系。L2 (r) 为投机动机产生的货币需求,是利率的函数,且与利率成负相关关系。
凯恩斯的后继者认为,凯恩斯的货币需求理论存在着缺陷,他们从几个方面进行了修正、补充和发展,形成了凯恩斯主义的货币需求理论。下面根据R·多恩布施和S·费希尔(R. Dornbusch and S. Fischer,1994,P. 375~395)对该理论加以简单介绍。
3.凯恩斯主义的货币需求理论
该理论认为,货币需求是对真实货币的需求(the demand for money is a demand for real balances),即人们持有货币是因为货币具有购买力,他们并不关心名义货币持有量。这里隐含的假设就是个人没有货币幻觉,这表明:
第一,如果所有实际变量如利率、实际收入、实际财富等保持不变,价格的上升不会改变实际货币需求。
第二,给定实际变量不变,名义货币需求和价格水平以相同的比例变动。
人们持有货币既有收益也有利息等损失。这种收益和损失影响了人们的货币需求行为,凯恩斯主义的货币需求理论就是建立在对这种影响的分析之上的,它的显著特点就是直接引入机会成本分析。
(1) 交易动机的货币需求模型。在凯恩斯的货币需求函数中,交易性货币需求只取决于收入水平,凯恩斯主义经济学家从分析微观主体的持币行为入手,证明利率对交易性货币需求也有影响。交易动机产生的货币需求可以通过对持有货币的成本收益分析得出。手持货币的收益是使用方便,同时可以节省出售债券换取货币产生的交易成本 (或到银行提款的成本),而手持货币的成本就是放弃的利息收益。美国经济学家W·鲍莫尔 (W. Baumol) 和J·托宾(J.Tobin)利用存货理论方法(inventory-theoretic approach)研究货币需求理论得出了著名的鲍莫尔—托宾货币交易需求模型(The Baumol - Tobin Transactions Demand Model),该模型如下:

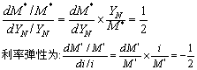
其中M*表示交易性货币需求,YN是某人每月的名义收入,定义为实际收入Y和价格水平P的乘积即YN=PY,tc是提款成本 (花费的时间和精力),又称为经纪人费用,i为月利率。该式又称为平方根公式 (Square-root Formula)。该式表明: 交易性货币需求随经纪人费用和收入水平的增加而增加,随利率水平的上升而下降。即和国民收入同方向变化,和利率反方向变化。
从这个公式中可以得出货币需求的收入弹性和利率弹性,其中货币需求的收入弹性为:

这表明,实际收入增加 (下降) 1%,交易性货币需求增加 (减少) 0.5%,这种现象称之为规模经济。而利率上升 (下降) 1%,交易性货币需求则下降 (上升)0.5%。
需要说明的是:
第一,平方根公式表明交易性货币需求不存在货币幻觉。当价格以某一比例变动时,经纪人费用和名义收入也将分别以相同的比例同向变动,从而名义货币需求也将以相同比例同向变动,而实际货币需求不变。我们说交易性货币需求的收入弹性为1/2,是指实际货币需求对实际收入的弹性为1/2,如果收入增加仅是因为价格上升 (从而tc也上升),那么名义货币需求将以相同比例同向增加。
第二,如果考虑到交易次数必然是整数,我们将会发现交易性货币需求的收入弹性应在1/2与1之间,利率弹性应在-1/2和0之间。而不会像公式表明的那样恰好为1/2和-1/2。
第三,使平方根公式成立的假设条件是非常严格的。但即使在更为现实的基础上该公式的基本思想也是成立的。即交易性货币需求和收入水平呈正相关关系而和利率呈负相关关系。
(2)预防动机引起的货币需求 (预防性货币需求)。预防性货币需求产生于人们未来购买和支付行为的不确定性。如果手中缺乏足够的货币,人们必然不得不放弃一些有利可图的购买和支付活动,或通过借债来进行这些购买和支付活动,这就会给个人带来损失。而手中持有足够的货币就可以有效避免这种损失,但是又损失了利息收益。在这种收益和损失的比较权衡中得出的最佳货币需求量就是预防性货币需求。R·多恩布施和S·费希尔 (R. Dornbusch and S. Fischer,1994,P. 380~382) 通过一个简单的模型对预防性货币需求提供了相当的洞察力,该模型实质上是商品存货理论(The Commodity Inventory Theory) 的一种扩展。该模型表明: 预防性货币需求和利率成负相关关系,而和未来支付行动的不确定性以及由于缺乏货币而造成的损失成正相关关系。将利率引入预防性货币需求是凯恩斯主义经济学家对凯恩斯的货币需求模型的一个扩展。
(3) 投机动机引起的货币需求(投机性货币需求)。凯恩斯在其投机性货币需求分析中认为,投资者会根据对利率的预期在货币和债券之间选择能带来最大收益的资产。这一点与经济现实并不吻合,后来的凯恩斯主义经济学家通过引入多样化资产组合理论使投机性货币需求分析更为贴近现实。
手持货币具有较高的安全性和流动性,但会丧失利息收益。持有其他资产 (如股票、债券等) 可以带来较高的收益,但具有不同程度的风险。理性的风险规避型的投资者会将其财富按一定比例在多种资产形式之间进行搭配。以期既能得到较高的收益又有效地减少风险,“不要将所有的鸡蛋放在一个篮子里”就是对多元化资产组合方式的一种形象说明。显然,多样化资产组合理论能够分析说明投机性货币需求的决定。凯恩斯主义经济学家的分析表明: 投机性货币需求与非货币资产的利率呈负相关关系,而与其风险性呈正相关关系。需要说明的是: 投机性货币需求和交易性及预防性货币需求有一点不同之处,后者是对M1的需求,而前者是对M2甚至于部分M3的需求,主要原因在于投机性货币需求是在收益和风险之间进行权衡,而M2和M1的风险性是相同的 (这种风险基本上是由通货膨胀引起的),但M2的收益比M1高。因此提高M2的利率会增加投机性货币需求。
凯恩斯主义的货币需求理论发展了凯恩斯的货币需求模型,使分析更加贴近现实。当然必须意识到,人为地将货币需求分为交易性、预防性和投机性三种是为了理论分析的明晰和富有洞察力。而现实中一个人持有的货币是无法作出这种明确的划分的。
3.货币主义的货币需求理论
货币主义是和凯恩斯主义相对立的一个经济学派,其代表人物M·弗里德曼基本上继承了传统货币数量论的长期结论,非常看重货币数量与物价水平之间的因果关系,认为从长期看,货币是中性的。同时他也接受了剑桥学派和凯恩斯主义以微观主体行为作为分析起点的作法,也承认货币是一种受利率影响的资产。弗里德曼提出的货币需求函数如下:

公式中,Md/P表示实际货币需求,y表示实际永久性收入,w表示非人力财富占个人总财富的比率(或得自财产的收入占总收入的比重),rm代表货币预期收益率,rb是固定收益的债券利率,re是非固定收益的证券利率,1/P·dP/dt是预期通货膨胀率,u是一个综合变量,反映了主观偏好、风尚以及客观技术制度等因素。在这个函数关系中,y和Md/P呈正相关关系,这一点很易于理解。而w和Md/P呈负相关关系,弗里德曼的解释是: 非人力财富很不容易转化为货币,所以总财富中人力财富比重越大,则出于谨慎动机的货币需求越大,而非人力财富的比重越大,则货币需求相对越小,因此W和Md/P呈负相关关系。
rm,rb,和re统称为“机会成本变量”,即从这几个变量的相互关系中可以衡量出持有货币的潜在收益和损失。Md/P和rm正相关,与rb及re负相关。这里需要注意的是: 与凯恩斯主义的货币需求函数不同,该需求函数中引入了预期通货膨胀率,通货膨胀率实际上反映了实物资产的名义报酬率。在其他条件相同的情况下,通货膨胀率越高,则货币需求量越小。即1/P·dP/dt和Md/P呈负相关关系。该变量的引入是对普遍存在的通货膨胀现实的反映。关于是否在货币需求函数中引入通货膨胀率,R·多恩布施和S·费希尔 (R. Dornbusch and S. Fischer,1994,P. 388)认为,在充分发展的资本市场上,利率中包含了通货膨胀率,引入预期通货膨胀率并不会产生太大的差异。但在资本市场不是自由市场时,例如利率受到了管制或被规定了上限,那么引入通货膨胀率就是适当的了。F·默迪里安尼 (F. Modiglcani) 提供了一个简单的规则: 用通货膨胀率和利率中较高的那一个变量来测度持有货币的机会成本。
对于货币需求,弗里德曼的概括性论断是: 由于永久性收入比较稳定,与现期收入相比波动幅度很小,而且货币流通速度(永久性收入除以货币存量)也比较稳定,所以货币需求也应是比较稳定的。

☚ 公共支出的挤出效应   货币供给 ☛
货币需求

货币需求demand for money

指经济主体为购买商品、劳务或各种金融资产而自愿持有的货币。人们持有货币出于种种动机。一是出于交易性动机,即为了满足日常消费需要或日常的业务需要,持有一定量的货币; 二是出于谨慎的动机,即为了应付意外的不时之需,持有一定量的货币; 三是出于投机性的动机,即视利率变动是否与已有利,在持有货币与购买债券之间进行抉择。由前两种动机引致的货币需求,主要取决于货币收入多少。而由投机性动机引致的货币需求,主要取决于对利率变动的预期。参“凯恩斯货币需求理论”。

☚ 货币流通速度   凯恩斯的货币需求理论 ☛
货币需求

货币需求demand for money

个人、企业或单位对执行流通手段、支付手段和价值贮藏手段的货币的需求。早期的货币理论中从宏观视角考察货币需求,如“现金交易说”强调货币在行使流通手段、支付手段职能时,经济交易对手段物的需要。现代货币理论则侧重于从微观主体的行为考察货币需求,探讨微观主体持有货币的动机和货币需求量的决定。以凯恩斯作为先导的凯恩斯主义货币理论认为,对货币的需求取决于人们的三种动机:交易动机、谨慎动机、投机动机(三种动机解释分别参见其词条解释);而以弗里德曼为代表的货币主义者则认为,经济中的许多变量,如价格、股息、债券利息、永久性收入等都对货币需求产生影响,其中永久性收入作为各种形式资产总和的财富代表,是最重要的决定变量,在货币需求中起主导作用。货币学派继承并强调了凯恩斯关于货币是一种资产的观点,如弗里德曼认为货币是“购买力的暂时栖息”。货币需求在货币供给与经济活动中的关系起着至关重要的作用:货币需求的数量决定着中央银行货币供给量的过多或过少,而无论过多或过少,又会引致经济活动的过度扩张(过热)或是经济水平的降低(衰退),所以如何调整货币需求与货币供给之间的均衡是经济学界争论最多的问题之一。

☚ 格雷钦定律   货币需求函数 ☛
00001316
随便看

 

文网收录3541549条中英文词条,其功能与新华字典、现代汉语词典、牛津高阶英汉词典等各类中英文词典类似,基本涵盖了全部常用中英文字词句的读音、释义及用法,是语言学习和写作的有利工具。

 

Copyright © 2004-2024 Ctoth.com All Rights Reserved
京ICP备2021023879号 更新时间:2025/10/18 21:30:00