网站首页  词典首页

请输入您要查询的字词:

 

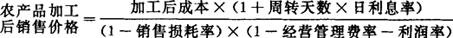
字词 农产品简单加工后销售价格
类别 中英文字词句释义及详细解析
释义 农产品简单加工后销售价格

指某些农副产品在收购后,经过简单加工的销售价格。

其计算公式为:

例如,收购生猪屠宰后出售,其销售价格就应按上述公式计算。其中,猪肉加工后成本应包括:生猪收购价格、市场管理费、短途集中运杂费、饲养保管费、检验费、屠宰加工费、宰前损耗、冷冻费、屠宰场经营管理费、屠宰税金及减去猪副产品和其它回收价值。

随便看

 

文网收录3541549条中英文词条,其功能与新华字典、现代汉语词典、牛津高阶英汉词典等各类中英文词典类似,基本涵盖了全部常用中英文字词句的读音、释义及用法,是语言学习和写作的有利工具。

 

Copyright © 2004-2024 Ctoth.com All Rights Reserved
京ICP备2021023879号 更新时间:2026/1/16 17:30:45