跨时预算约束Inter-Temporal Budget Constraint
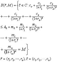
预算约束的一种。在不存在流动性约束的情况下,消费者在多个时期的消费的现值 (或终值) 和所受到的多个时期的收入现值 (或终值) 的限制。跨时预算集可表述为:

其中,C是消费支出集,r
i是第i期利率或时间折现率,c
i是第i期消费支出,A
0是初始资产。m
i(i=0,1,2,…,n)是第i期的收入,当n→+∞时,称为代际预算约束,说明不同代人之间可以进行借贷或遗赠及赡养行为。这可以用来说明一个家族在无限的时间序列中所受到的预算约束。
跨时预算约束使消费者的消费不必受到当期收入的制约,可以在整个生命周期内恰当地安排各期的消费,大大提高了消费者的效用水平。当经济中存在流动性约束时,消费者的消费将受到当期收入的强有力的制约,当期消费会对当期收入的波动过度敏感,这也是经济波动加剧的因素之一,未来的不确定性会使预期利率和预期收入变得不确定,跨时预算约束也就难以发挥作用。
〖参〗流动性约束
跨时预算约束条件下的消费者选择
交叠世代模型