网站首页  词典首页

请输入您要查询的字词:

 

字词 净效积温
类别 中英文字词句释义及详细解析
释义 净效积温

作物在某一发育期或整个生育期中净效温度的总和。

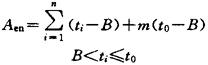
它是作物的一种需热指标,在作物引种与品种推广方面,可作为鉴定其农业气候条件的依据。净效积温A。n的计算公式为:

式中ti为日平均气温;t0为最适温度;B为生物学下限温度;n为生育期经历的天数;m为该生育期内ti>t0的天数。例如水稻拔节期的生物学下限温度为12℃,最适温度为30℃,测得该发育阶段内7天的逐日平均气温为:26.5℃、27.2℃、25.3℃、28.4℃、29.6℃、32.3℃、31.0℃,则此时段的净效积温为113.0℃。

随便看

 

文网收录3541549条中英文词条,其功能与新华字典、现代汉语词典、牛津高阶英汉词典等各类中英文词典类似,基本涵盖了全部常用中英文字词句的读音、释义及用法,是语言学习和写作的有利工具。

 

Copyright © 2004-2024 Ctoth.com All Rights Reserved
京ICP备2021023879号 更新时间:2026/4/19 22:24:54