网站首页  词典首页

请输入您要查询的字词:

 

字词 净现值评估法
类别 中英文字词句释义及详细解析
释义 净现值评估法

评估投资方案的方法之一。

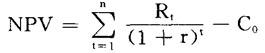
这种方法很简单,先计算出投资方案的净现值,如果净现值大于零,表明该投资方案所提供的现值收益大于现值成本,因此可以采纳;如小于零则应放弃。一个投资方案的净现值就是该方案带来的未来的成本流量和收益流量的贴现值之差。计算公式为:

式中:NPV为投资方案的净现值,Rt为第t期净现金流量,C0为投资方案的原始成本,r为机会利率,t为期数。

随便看

 

文网收录3541549条中英文词条,其功能与新华字典、现代汉语词典、牛津高阶英汉词典等各类中英文词典类似,基本涵盖了全部常用中英文字词句的读音、释义及用法,是语言学习和写作的有利工具。

 

Copyright © 2004-2024 Ctoth.com All Rights Reserved
京ICP备2021023879号 更新时间:2026/5/24 19:40:02