网站首页  词典首页

请输入您要查询的字词:

 

字词 减速器的选用
类别 中英文字词句释义及详细解析
释义 减速器的选用

已知实际输入功率PW1或低速轴转矩T2、高速轴角速度ω1、低速轴转矩及角速度变化图、最大尖峰载荷、传动比i、寿命、装配形式后,可按程序选用。

先根据传动比i选型(ZDH、ZLH、ZSH或ZD、ZL、ZS),再决定工作类型。其总工作时间Tw按下式计算:

Tw=TuKdKy△,h

式中 Tu为整个使用期的时间(h);Kd=每日工作小时数/24,为日利用系数;Ky=每年工作日数/365,为年利用系数;△=tw/ta,为每一工作循环时间的利用系数;tw为每一工作循环的工作时间(h);ta为每一工作循环的总时间(h)。

当量工作时间Ta按下式计算:

载荷与角速度可以认为是常数时:Ta=Ta

载荷可以认为是阶梯式变化时:

先根据传动比i=5,选用ZDH(或ZD)型单级减速器。再决定工作类型(按轮齿载荷较大的工作面A计算):齿面A每一工作循环的工作时间tw=4+8+4=16s;每一工作循环的总时间ta=50s;每一工作循环的利用系数△==tw/ta=16/50=0.32;齿面A的总工作时间Tw=Tvc△=63000×0.32=20160h。

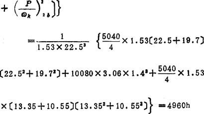
由于载荷和角速度均是变化的,故应计算当量工作时间Ta

(P/ωh)max=22.5~19.7kN·m时:相对应的时间tmax=4/50×63000=5040h;相对应的角速度平均值ωmaxm=(0+3.06)/2=1.53rad/s。

(P/ωk)1=1.4kN·m时:相对应的时间t1=8/50×63000=10080h;相对应的角速度ωt=3.06rad/s。

(P/ωk)2=13.35~10.55kN·m时;相对应的时间t2=4/50×63000=5040h,

相对应的角速度平均值ω2m==(3.06+0)/2=1.53rad/s。

查表6.2-28,按Tw的要求应选特重型,但考虑到Ta不大,且Tw中占一半的是微小载荷,所以决定按重型选择减速器。则输入轴角速度ω1=iω2=5(0~3.06)=0~15.3rad/s。但标准减速器输入轴角速度最低为52rad/s,所以按ω1=52rad/s选用。

挖掘机所需最大转矩(P/ωk)max=22.5kN·m。其中ωk应以所选减速器的角速度52/i代入,即减速器输入功率需为:

×103N·m/s=241kW

查表6.2-29,ω1=52rad/s,i=5,重型,高速轴额定输入功率P1=280kW,接近且偏大于241kW,故选a=600mm。

核验尖峰载荷:ω1=52rad/s,a=600mm,i=5,连续型P1=242kW

换算为挖掘机输出轴连续运转下能传递的转矩:

减速器许用尖峰载荷:T2maxP=3.1T2P=3.1×22.6=70kN·m>49kN·m

故尖峰载荷满足要求。所选减速器代号为:ZDH60-5-Ⅱ(或ZD60-9-Ⅱ)。最后,由表6.2-25查得实际传动比i′=5.083(或4.92)。

减速器采用油池润滑,也可采用循环润滑。采用油池润滑的注油量,对于ZDH和ZD系列,大齿轮浸油1~2个全齿高;ZLH和ZL系列,低速级大齿轮浸油1~2个全齿高;ZSH和ZS系列,中间级大齿轮(第三轴大齿轮)浸油1~2个全齿高。常温条件下,润滑油的粘度按表6.2-44选择。建议在润滑油中加入添加剂以增加抗胶合性能。

表6.2-44 ZDL、ZLH、ZSH、ZD、ZL、ZS型减速器润滑油粘度的选择

注:
❶ 表内圆周速度指减速器的低速级齿轮。圆周速度可由表6.2-25~6.2-27查得低速级中心距、传动比及转速计算。

❷ mn为低速级齿轮的模数。

随便看

 

文网收录3541549条中英文词条,其功能与新华字典、现代汉语词典、牛津高阶英汉词典等各类中英文词典类似,基本涵盖了全部常用中英文字词句的读音、释义及用法,是语言学习和写作的有利工具。

 

Copyright © 2004-2024 Ctoth.com All Rights Reserved
京ICP备2021023879号 更新时间:2026/4/17 23:40:10