网站首页  词典首页

请输入您要查询的字词:

 

字词 几个基本极限和重要极限
类别 中英文字词句释义及详细解析
释义 几个基本极限和重要极限

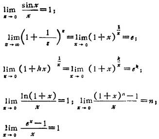
7.1.1 几个基本极限

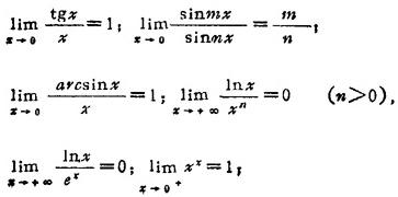
7.1.2 几个重要极限

随便看

 

文网收录3541549条中英文词条,其功能与新华字典、现代汉语词典、牛津高阶英汉词典等各类中英文词典类似,基本涵盖了全部常用中英文字词句的读音、释义及用法,是语言学习和写作的有利工具。

 

Copyright © 2004-2024 Ctoth.com All Rights Reserved
京ICP备2021023879号 更新时间:2026/4/18 19:16:12