函数的值域
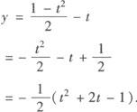
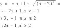
1.函数值域的定义 在函数y=f(x)中,与自变量x的值对应的y的值叫做函数值,函数值的集合叫做函数的值域. 2.确定函数值域的原则 (1)当函数y=f(x)用表格给出时,函数的值域是指表格中实数y的集合; (2)当函数y=f(x)用图象给出时,函数的值域指图象在y轴上的投影所覆盖的实数y的集合; (3)当函数y=f(x)用解析式给出时,函数的值域由函数的定义域及其对应法则惟一确定. 3.求函数的值域的方法 (1)直接法——从自变量x的范围出发,推出y=f(x)的取值范围; (2)分离常数法; (3)配方法——利用换元法将函数转化为二次函数求值域(或最值); (4)判别式法——运用方程思想,依据二次方程有实根,求出y的取值范围; (5)换元法——适用于带有根式的函数; (6)图象法——当一个函数图象可作时,通过图象可求其值域和最值; (7)反解法. 例1 求函数值域 y=x2+2x+3,x∈[—1,2](配方法) 解 将二次函数配方有 y=(x+1)2+2, 由图象可知区间[—1,2]落在函数递增区间上. 由函数单调性可知 ymin=(—1+1)2+2=2, ymax=(2+1)2+2=11. ∴函数值域为[2,11]. 例2 求函数的值域  ∴函数值域为{y|y≠1 注 形如 (a≠0)的函数值域可用此法. 例4 求函数 的值域.(换元法) 解 令 (t≥0) 则 代入原函数  配方有  例5 求函数的值域(图象法)  分析 解决此题的关键是去绝对值,采用零点分段法. 解 解法一(数形结合):画出函数的图象.  如下图所示,故值域y≥3.  解法二(数形结合): 把y看作是点(x,0)到两定点A(—1,0)与B(2,0)的距离之和.故y≥|AB|=3. |