函数的和、差、积、商的导数
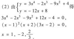
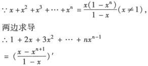
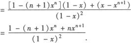
1.和(或差)的导数 法则1 两个函数的和(或差)的导数等于这两个函数的导数的和(或差),即(u±v)′=u′±v′. 2.积的导数 法则2 两个函数的积的导数等于第一个函数的导数乘以第二个函数,加上第一个函数乘以第二个函数的导数,即(uv)′=u′v+v′u. 3.商的导数 法则3 两个函数的商的导数,等于分子的导数与分母的积,减去分母的导数与分子的积,再除以分母的平方,即 . 例1 求下列函数的导数,并指出其不可导的点. (1)y=tanx;(2)y=cotx; (3)y=secx;(4)y=cscx.  4. (1)求曲线C上横坐标为1的点的切线方程; (2)第(1)小题中切线与曲线C是否还有其他公共点? 解 (1)把x=1代入C的方程,求得y=—4. ∴切点为(1,—4). ∵y′=12x3—6x2—18x, ∴切线斜率为k=12—6—18=—12. ∴切线方程为y+4=—12(x—1),即y=—12x+8.  代入y=3x4—2x3—9x2+4,求得y=—4,32,0,即公共点为(1,—4)(切点),(—2,32),(2/3,0). 除切点外,还有两个交点(—2,32),(2/3,0). 此例告诉我们:曲线与直线相切,并不一定只有一个公共点,当曲线是二次曲线时,我们知道直线与曲线相切,有且只有一个公共点,这种观点对一般曲线不一定正确. 例3 求和1+2x+3x2+…+nxn—1(x≠1). 解 由求导公式(xn)′=nxn—1,可联想到它是第一个和式x+x2+x3+…+xn的导数.   利用本题的结论和方法我们还可以求2+6x+12x3+…+n(n—1)xn—2的和,请读者自己完成. |