网站首页  词典首页

请输入您要查询的字词:

 

字词 分式
类别 中英文字词句释义及详细解析
释义 分式

整式A除以整式B,可以表示成A/B的形式,如果除式B中含有字母,那么称A/B为分式,其中A称为分式的分子,B称为分式的分母,对于任意一个分式,分母都不能为零.

注意 1.分式是两个整式相除的商式,其中分子是被除式,分母是除式,分数线起除号的作用,另外还有括号作用.

2.分式的分母中必须含有字母,而分子中可以含有字母,也可以不含有字母.

3.分式有意义的前提条件是分母必须不为零.

4.分式的值为零必须同时满足两个条件:一是分母不为零;二是分子为零.

5.当分子、分母同号时,分式的值为正;当分子、分母异号时,分式的值为负.

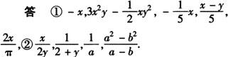
例1 把下列各代数式填在相应的大括号内:

❶ 整式的集合{ …};

❷ 分式的集合{ …}.

[解析] ❶ 判断一个代数式是否是分式,关键看分母中是否有字母,如果有字母,就是分式,不用看化简后的结果,比如=a+b,但原形式仍是分式.

❷ π是一个数,而不是字母.

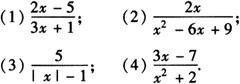
例2 当x为何值时,下列分式有意义:

解 (1)当分母3x+1=0时,x=-1/3,所以x≠-1/3时,分式有意义.

(2)当分母x2-6x+9=0,即(x-3)2=0时,x=3,所以当x≠3时,分式有意义.

(3)当分母|x|-1=0时,x=±1,所以当x≠±1时,分式有意义.

(4)因为x2≥0所以x2+2>0,不论x取任何实数,分母不可能为零,所以不论x取何值,分式都有意义.

[解析] 判断一个分式是否有意义,关键是看分母,只要分母不为零,则分式有意义,若分母为零则分式无意义.

随便看

 

文网收录3541549条中英文词条,其功能与新华字典、现代汉语词典、牛津高阶英汉词典等各类中英文词典类似,基本涵盖了全部常用中英文字词句的读音、释义及用法,是语言学习和写作的有利工具。

 

Copyright © 2004-2024 Ctoth.com All Rights Reserved
京ICP备2021023879号 更新时间:2026/4/17 17:10:28