网站首页  词典首页

请输入您要查询的字词:

 

字词 分段平均法
类别 中英文字词句释义及详细解析
释义 分段平均法

税务预测常用的一种数学预测方法。

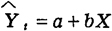
这种方法的具体作法是,将全部时间数列分为年数相等的两段,分别计算每一段的平均数,列成二元联立方程式,求解出参数,配合长期趋势直线模型,建立预测模型,据以预测。计算公式为:

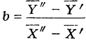
式中t为趋势值,X为时间顺序数;a、b为待定参数,可分别用下列公式计算求得:

分段平均法适用于税务定量预测。

随便看

 

文网收录3541549条中英文词条,其功能与新华字典、现代汉语词典、牛津高阶英汉词典等各类中英文词典类似,基本涵盖了全部常用中英文字词句的读音、释义及用法,是语言学习和写作的有利工具。

 

Copyright © 2004-2024 Ctoth.com All Rights Reserved
京ICP备2021023879号 更新时间:2026/5/31 23:09:22