网站首页  词典首页

请输入您要查询的字词:

 

字词 配伍组试验
类别 中英文字词句释义及详细解析
释义
配伍组试验

配伍组试验

配伍组试验亦称随机区组试验,是配对试验的扩大。设计 将受试对象按性质(如实验动物的性别、体重,病人的性别、年龄及病情等对试验结果有影响的非实验因素的生物学性质)相同或相近者组成配伍组,每个配伍组中有三个或三个以上受试对象,分别随机分配到各个处理组。这样各个处理组所用受试对象不仅数量相同,生物学特点也较均衡。用这种试验设计,既缩小了误差,还可分析出处理组及配伍组两个因素的影响,试验效率较高。
例1 在抗癌药物筛选试验中,拟用20只小白鼠按体重相近者分成四组,分别观察四种药物对小白鼠肉瘤(S180)的抑瘤效果,试作配伍组试验设计。
先将20只小鼠按体重大小编号。以1~4号为第一配伍组,5~8号为第二配伍组,余类推。1~4号鼠随机分配到各处理组的方法是:在随机数字表(见条目“随机数字表与随机排列表”表1)上,任指第41行,第21列数字起,向右查,依次抄录三个两位数,如87,63,93,分别以4、3、2除之(因本例每一配伍组有4只鼠),按余数将小鼠分到A、B、C、D四种处理组。如第一个数87除以4余3,将1号鼠分配在ABCD中的C组;第二个数63除以3可看作余3,将2号鼠分配在ABD中的D组;第三个数93除以2余1,将3号鼠分配在AB中的A组;4号鼠则分配到B组。其余各配伍组中4只鼠按同法分配到各处理组,结果如下:

小鼠号1 2 345 6 789 10 111213 14 151617 18 1920
随机数字87 63 9395 17 1129 01 9580 35 1497 35 33
除数
余数
4 3 2
3 3 1
 4 3 2
3 2 1
 4 3 2
1 1 1
 4 3 2
4 2 2
 4 3 2
1 2 1
 
处理组C D ABC B ADA B CDD B CAA C BD

经整理后各处理组的小鼠号及试验结果见表1。

表1 四种药物抑瘤效果(瘤重,g)


分析 用方差分析。
(1)作检验假设,有两种: 一是各处理组间的比较,H0为各处理组的总体均数相等; 二是各配伍组间的比较,H0为各配伍组的总体均数相等。
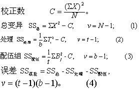
(2)将总变异的离均差平方和及自由度按变异来源分析为处理组、配伍组及误差三部分,计算公式为:

式中N为受试对象数,b为配伍组数,t为处理组数,Ti为各处理组观察值合计数,Bj为各配伍组观察值合计数。
(3) 分别计算处理组及配伍组的均方MS(=SS/v),并与误差的均方相比得F值,如表2。
(4)查F界值表得P值,按所取检验水准作出推断结论。
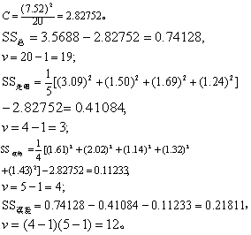
例2 试对表1资料作方差分析。
药物间:
H0: 四种药物的抑瘤作用相同,
H1: 四种药物的抑瘤作用不同或不全相同。
配伍组间:
H0:五个配伍组间抑瘤作用相同,
H1: 五个配伍组间抑瘤作用不同或不尽相同。
均取α=0.05。
N=20,b=5,t=4,∑X=7.52,∑X2=3.5688。


表2 表1数据的方差分析

变异来源SSvMSF
0.7412819  
处理组(药物)
配 伍 组
误 差
0.41084
0.11233
0.21811
3
4
12
0.13695
0.02808
0.01818
7.53
1.54

查F界值表,各药物间P<0.01,按α=0.05水准拒绝H0,接受H1,表明四种药物的抑瘤作用不同; 而各配伍组间P>0.05,按α=0.05水准不拒绝H0,表明各配伍组的抑瘤作用看不出有差别。
缺项估计 配伍组试验的特点是各处理组的受试对象数相等,各配伍组的受试对象数也相等。如在试验过程中因故漏失原始数据时就不能按上法作统计处理,而须补进漏失数据后才能作方差分析。如漏失数据只有一个,缺项Xe可按下式估计:

式中T为有缺项的处理组中现有观察值之和,B为有缺项的配伍组中现有观察值之和,S为现有观察值之总和,t、b的含意同上。
补进缺项作方差分析时,须从处理的平方和中减去偏大值K加以校正,并将总变异及误差的自由度各减1。K的计算公式为


由于误差自由度减少,F检验的灵敏度降低,而且补入的数据只作分析问题的参考,它毕竟不是真实的,漏失的信息是难以全部补救的,所以最好不要漏失。
例3 若表1中6号鼠意外死亡以致数据漏缺,如表3,试作缺项估计及方差分析。

表3 表1资料缺项估计的计算

配伍组处 理 组配伍组小计
Bj
ABCD




0.80
0.74
0.31
0.48
0.76
0.36
(0.38)
0.20
0.18
0.26
0.17
0.42
0.38
0.44
0.28
0.28
0.36
0.25
0.22
0.13
1.61
1.52(1.90)
1.14
1.32
1.43
处理组
小计Ti
3.091.00
(1.38)
1.691.247.02
(7.40)=∑X
各处理组平
方和X2
2.09170.2696
(0.4140)
0.62170.33583.3188
(3.4632)=∑X2

检验假设同例2。
今t=4,b=5,缺项补漏前T=1.00,B=1.52,S=7.02。


表4 补进缺项后的方差分析

变异来源SSvMSF
0.7252018  
处理组(药物)
配 伍 组
误 差
0.41921
0.08425
0.22174
3
4
11
0.13974
0.02106
0.02016
6.93
1.04

查F界值表,各药物间P<0.01,按α=0.05水准拒绝H0,接受H1;各配伍组间P>0.05,按α=0.05水准不拒绝H0,结论同例2。
☚ 配对设计   平衡不完全配伍组试验 ☛
00013191
随便看

 

文网收录3541549条中英文词条,其功能与新华字典、现代汉语词典、牛津高阶英汉词典等各类中英文词典类似,基本涵盖了全部常用中英文字词句的读音、释义及用法,是语言学习和写作的有利工具。

 

Copyright © 2004-2024 Ctoth.com All Rights Reserved
京ICP备2021023879号 更新时间:2025/10/18 12:56:30