网站首页  词典首页

请输入您要查询的字词:

 

字词 酚酞指示剂
类别 中英文字词句释义及详细解析
释义
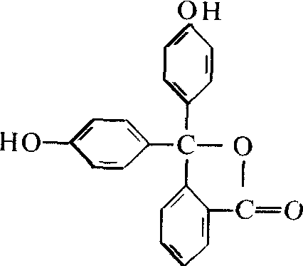
酚酞指示剂

酚酞指示剂fentai zhishiji

是一种不溶于水的白色晶体粉末,易溶于乙醇。



无色内酯


在碱性溶液中,无色的内酯开环生成醌式结构,颜色呈红色。当遇浓的强碱时,酚酞又可转化为无色的羧酸盐。它的变色范围是pH7.0 (无色) ~10.0(红色)。试液的配制方法是每升90%乙醇中溶解1g。
☚ 石蕊指示剂   甲基橙指示剂 ☛
00006234
随便看

 

文网收录3541549条中英文词条,其功能与新华字典、现代汉语词典、牛津高阶英汉词典等各类中英文词典类似,基本涵盖了全部常用中英文字词句的读音、释义及用法,是语言学习和写作的有利工具。

 

Copyright © 2004-2024 Ctoth.com All Rights Reserved
京ICP备2021023879号 更新时间:2026/1/18 20:34:29