网站首页  词典首页

请输入您要查询的字词:

 

字词 酶的应用
类别 中英文字词句释义及详细解析
释义
酶的应用

酶的应用

酶的应用可以追溯到很古的年代并遍及于人们的生活之中,随着酶学研究工作的进展,又为酶的进一步应用奠定了必要的理论基础。今后,伴随遗传工程和生物工程的蓬勃发展,酶的应用将会有更加广阔的前程。
1. 酶与工业生产: 酶在工业生产上的应用是多方面的,除医药工业外,皮革、纺织特别是食品工业中均有广泛应用。仅在食品工业中应用的酶就有淀粉酶、蛋白酶、葡萄糖氧化酶、果胶酶等数十种。
近年来出现了用酶制剂取代老的发酵法的趋势。70年代以来,又发展了固定化酶的新工艺。它是将酶连接或包埋于固相载体上,保留其催化活性,这样不仅提高了酶对酸、碱、温度等变性条件的耐受性,而且可以反复利用,利于产物分离和生产连续化。许多先进国家已广泛采用,用于大规模生产。
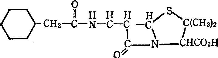
由于苄基青霉素的广泛应用,不少致病菌对它产生了抗药性,后来发现,如果将青霉素分子中的苯甲酰基水解除去并用其他基团取代,所得到的一系列青霉素衍生物,可用来治疗对苄基青霉素已经产生抗药性的细菌引起的疾病。在工业上水解苄基青霉素这一步反应是在青霉素酰胺酶的催化下完成的。

苯甲酰基青霉素


2. 酶与农业生产:目前,酶在农业方面的应用主要还是集中于杀虫剂、农药方面。自20世纪40年代滴滴涕问世以来,有机氯、有机磷、氨基甲酸脂、除虫菊酯等农药相继问世。其中有机磷农药由于药效高、残留期短等优点曾被大量使用。它除了用于防治病虫害以外,甚至还作为毒化学武器用于战争。有机磷毒剂是强有力的胆碱酯酶抑制剂。胆碱酯酶在神经传导中起着重要的作用,它能分解作为神经递质的乙酰胆碱使之变成胆碱和乙酸,而使神经冲动的传递迅速中止,以阻止神经脉冲的正常传送。当这个酶被抑制,由神经控制的运动系统就会长期处于兴奋和紧张状态,最后导致死亡。
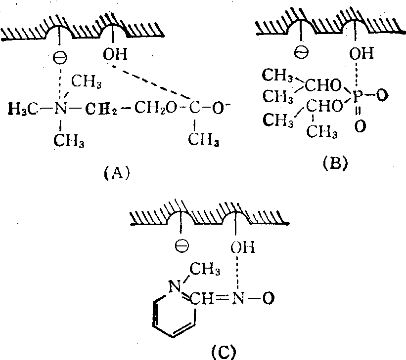
有机磷毒剂既对病害虫有害,对人体同样有害。因而在实际应用中,常有中毒事件发生。为了寻找解毒办法,根据有机磷毒制剂抑制胆碱酯酶是通过生成磷酰化酶这一原理,人们试图找到一种有很强的水解磷酸酯能力的试剂,能将酶上的磷酰基团置换下来。羟胺、羟肟酸具备这一功能,能将酶上的磷酰基团置换下来。又考虑到酶磷酰化后,活性部位的阴离子基团仍然是自由的,解毒剂中如能有一阳离子基团,就会增强与酶的结合,加强置换效果。N-甲基吡啶-2-醛肟的碘盐正好满足这几方面的要求,它就是高效有机磷解毒剂——解磷定(图)。这一实例,很好地说明了酶的作用机制的研究对生产实践有着重要的指导意义。

胆碱酯酶中毒与解毒机制
(A) 乙酰胆碱与胆碱酯酶的作用;(B)有机磷毒剂与胆碱酯酶的作用;(C)解磷定与胆碱酯酶的作用。


3. 酶与医学:酶的作用与人类的生命和健康是密切相关的,因此酶在医药卫生方面的应用,也是相当重要的方面。
人体的许多疾病是与代谢失调,特别是与酶的正常的催化作用受到干扰破坏有关。由于先天性缺乏某种酶而引起的疾病也屡见不鲜。白化病就是由于机体不能合成酪氨酸酶所致。这是一个与形成皮肤、毛发和眼睛的色素相关的酶,缺乏这个酶的病人其毛发皮肤都是白的。苯丙酮酸尿症就是由于缺乏苯丙氨酸羟化酶,导致苯丙酮酸在脑中的积累,造成痴呆症。现在正试图用基因工程方法或将苯丙氨酸羟化酶装入磷脂组成的脂质体中将酶带至病变细胞,以治疗这种病。
血清酶学诊断是非常重要的临床诊断手段。当人体患有某种疾病时,一些组织或器官就会发生病变,细胞破损,许多酶就会随之进入血流,使这些酶在血清中的含量和活性明显升高。人体的肝脏具有旺盛的代谢机能,含有丰富酶类,肝病常常会导致几十种酶活性的变化,其中有临床诊断价值的是谷丙转氨酶 (GPT)和谷草转氨酶(GOT)的变化。转氨酶的测定已普遍用于肝病的诊断。在生物化学上把催化相同反应但又具有不同理化性质、不同催化性质、不同免疫性质的酶称作同功酶。有时几种疾病都会引起同一酶活性的变化,但是它们引起的同功酶的变化却往往不同,因而可藉同功酶的变化作鉴别诊断。MB型肌酸激酶对急性心肌梗塞的诊断就是典型例证。MB型同功酶一般情况下主要存在于心肌中,当心肌梗塞后,由于缺血缺氧造成心肌坏死,心肌内的MB型肌酸激酶便会出现在血液中,梗塞18~33小时后,几乎100%的病人血液中都有MB型同功酶出现,甚至高达正常人的数十倍。肌酸激酶活力测定及同功酶佐证实验是诊断心肌梗塞疾病的最重要诊断方法之一。
对于由细菌或病毒感染引起的各种疾病,目前,最重要的治疗办法仍然是药物治疗。化学药物、抗生素的治疗原理基本上是由于它们能选择性地作用于致病微生物体内某一酶系,从而阻断该病原微生物的正常代谢,导致病原微生物的死亡。而这种药物对于人体则是无害或为害较小的。例如磺胺类药物就是作用于病菌体内叶酸 (一种重要的维生素)合成酶的活性部位,阻断叶酸的合成,导致细菌死亡。但人体的维生素是靠从食物中直接摄取的,人体内不存在这种酶,因此磺胺类药物对人类是基本无毒或低毒的。又如青霉素的作用机制,虽然尚未彻底搞清楚,但目前已经知道是作用于细菌细胞壁的结构成分粘肽的合成酶上,造成不可逆抑制。动物细胞则没有细胞壁,因而青霉素有着优良的选择毒性,对于人及动物从药理作用上讲是安全的。
此外,酶也可直接作为药物。尿激酶可以激活纤溶酶原,使之变为纤溶酶,纤溶酶有较强的纤维蛋白水解能力,可溶解血栓。溶菌酶可降解细菌细胞壁的粘多糖,可用于治疗咽喉炎、鼻炎、口腔溃疡等病。其他如透明质酸酶、胰蛋白酶、胰凝乳蛋白酶等均有广泛临床应用价值。
☚ 酶的作用机理   核糖核酸的分类 ☛
00006733
随便看

 

文网收录3541549条中英文词条,其功能与新华字典、现代汉语词典、牛津高阶英汉词典等各类中英文词典类似,基本涵盖了全部常用中英文字词句的读音、释义及用法,是语言学习和写作的有利工具。

 

Copyright © 2004-2024 Ctoth.com All Rights Reserved
京ICP备2021023879号 更新时间:2025/10/19 10:24:56