网站首页  词典首页

请输入您要查询的字词:

 

字词 刚体上力系的简化
类别 中英文字词句释义及详细解析
释义 刚体上力系的简化

1.2.1 基本力系的简化

(1)汇交力系的简化

各力作用线相交于一点的力系称为汇交力系。汇交力系总可简化(合成)为合力。合力的大小和方向等于汇交力系主矢的大小和方向,合力的作用线过此汇交力系的汇交点。由合矢量的投影定理知,合力R在直角坐标轴上的投影等于各力在相应轴上投影的代数和,即

(2)其它力系简化实例

例1.2-1 如图1.2-6所示,在边长为α的正方形平板上作用著三力,各力的大小均为P。试求此三力的最简简化结果。

图1.2-6 力系简化实例一

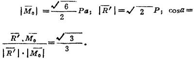
解:计算力系主矢

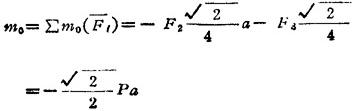
)选取Ο为矩心,计算力系主矩

可见力系可简化为作用于O点的一个力和一个力偶(图1.2-6b)。

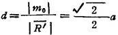
,可知力系还可进一步简化为一合力R。由

可知合力作用线过正方形顶点D(图1.2-6c)。其合力矢为

例1.2-2边长为a的正方体上作用二等值力,其作用线位置和方向如图1.2-7(a)所示。试求此二力的最简简化结果。

解:建立如图坐标系Oxyz。计算力系的主矢

计算力系对O点的主矩

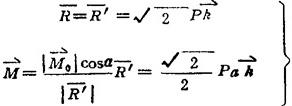
显而易见,由知,不垂直,故力系最简结果为一力螺旋。

图1.2-7 力系简化实例二

其中

故代入上式化简可得

可知力螺旋的中心轴过底面中点O1。力螺旋的力矢和力偶矩矢分别为(图1.2-7(c)):

随便看

 

文网收录3541549条中英文词条,其功能与新华字典、现代汉语词典、牛津高阶英汉词典等各类中英文词典类似,基本涵盖了全部常用中英文字词句的读音、释义及用法,是语言学习和写作的有利工具。

 

Copyright © 2004-2024 Ctoth.com All Rights Reserved
京ICP备2021023879号 更新时间:2025/10/18 17:56:12