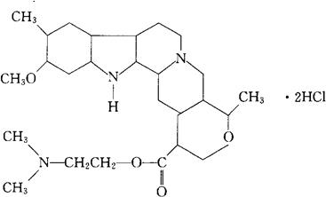
利血比林
C26H35N3O5·2HCl=542.5 CAS-5585-67-1 (3β,19α,20α)-16,17-二去氢-10,11-二甲氧-19-甲基氧杂育享烷-16-羧酸2-二甲氨基乙酯。 2-Dimethylaminoethyl(3β,19α,20α)-16,17-didehydro-10,11-dimethoxy-19-methyloxayohimban-16- carboxylate. 降压药。用于原发性和肾性高血压。 Paratensiol,Andanol,Belnalin,Dimeserpin Hypertenin.  |