制霉菌素[典]
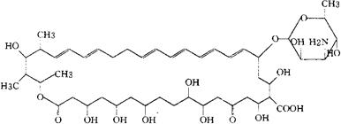
C47H75NO17=926.11 CAS-1400-61-9 是-种抗真菌的多聚烯混合物,含大量成分制霉菌素A。 A Mixture of antifungal polyenesit consists largely of nystatin A. 19-(3-氨基-3,6-二去氧-β-D-吡喃甘露糖基氧)-16-羧基-3,5,7,10,11,15,17,35-八羟-34,36-二甲基4,36-二甲基-13-氧代-三十八烷-20,22,24,26,30,32-己烯-37-内酯。 19-(3-Amino-3,6-dideoxy-β-D-mannopyranosyloxy)-16-carboxy-3,5,7,10,11,15,17,35-octahydroxy-34,36-dimethyl-13-oxo-octatriaconta-20,22,24,26,30,32-hexaen-37-olide. 抗霉菌药。用于白色念珠菌等真菌的皮肤粘膜及肠道感染。 制霉素耐丝菌素(台)。 Nystatin,Nilstat,Nystex,Mycostatin,O-V-statin,Diastatin Fungicidin,Nilstat,Nistacin,Nystan. 制霉菌素片,耐丝菌素锭,制霉菌素软膏,制霉菌素栓。 INN,BAN,BP,DCF,FP,GDP,IP,JP,NFN,PH,USAN,USP,MI.  |