网站首页  词典首页

请输入您要查询的字词:

 

字词 加灰量及石灰乳量的计算
类别 中英文字词句释义及详细解析
释义 加灰量及石灰乳量的计算

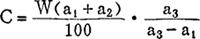
1.无回流时主加灰量的计算

式中 C——加灰量(%CaO对甜菜)

a1——主灰汁全氧化钙(%CaO)

a2——渗出汁酸度(%CaO)

a3——石灰乳中CaO含量(%CaO对石灰乳)

W——渗出汁量(%对甜菜)

2.有回流时主加灰量的计算(回流至预灰)

式中 W、C、a1、a2、a3的含意同上

a4——预灰汁碱度(%CaO)

a5——回流汁碱度(%CaO)

3.无回流时预加灰量可由下式近似计算

4.石灰乳量计算

式中 1——石灰乳耗用量(%对甜菜)

其他同上式。

随便看

 

文网收录3541549条中英文词条,其功能与新华字典、现代汉语词典、牛津高阶英汉词典等各类中英文词典类似,基本涵盖了全部常用中英文字词句的读音、释义及用法,是语言学习和写作的有利工具。

 

Copyright © 2004-2024 Ctoth.com All Rights Reserved
京ICP备2021023879号 更新时间:2026/1/16 12:15:11