网站首页  词典首页

请输入您要查询的字词:

 

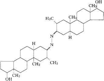
字词 勃拉嗪
类别 中英文字词句释义及详细解析
释义 勃拉嗪

C40H64N2O2=604.96

CAS-4267-81-6

17β-羟基-2α-甲基-5α-雄甾烷-3-酮缩吖嗪。

17β-Hydroxy-2α-methyl-5α-androstan-3-one azine.

同化激素类药。

Bolazine.

INN,USAN.

随便看

 

文网收录3541549条中英文词条,其功能与新华字典、现代汉语词典、牛津高阶英汉词典等各类中英文词典类似,基本涵盖了全部常用中英文字词句的读音、释义及用法,是语言学习和写作的有利工具。

 

Copyright © 2004-2024 Ctoth.com All Rights Reserved
京ICP备2021023879号 更新时间:2026/4/17 21:05:53